2971/AB XXI.GP

Eingelangt am: 20.12.2001

 

BM für Verkehr, Innovation und Technologie

 


Die schriftliche parlamentarische Anfrage Nr. 2991/J-NR/2001 betreffend Kontingente und
Genehmigungen im grenzüberschreitenden LKW-Güterverkehr, die die Abgeordneten Lichtenberger,
Freundinnen und Freunde am 24. Oktober 2001 an mich gerichtet haben, beehre ich mich wie folgt zu
beantworten:

Einleitend möchte ich darauf hinweisen, dass das Verkehrsressort bei Kontingentvereinbarungen
sowohl im Jahr 2000 als auch im heurigen Jahr nach folgenden Zielsetzungen und Kriterien vorge-
gangen ist:

1.        Kontingente für den Transit wurden auf den Stand des Jahres 1999 eingefroren, d. h. es
wurden seit damals keine zusätzlichen Genehmigungen mehr vereinbart, die den Durch-
zugsverkehr durch Österreich ermöglicht hätten.

2.        Jede zusätzliche Loco- Genehmigung (für “Loco- Verkehr", d.i. wenn die Ladung zwischen
Österreich und dem anderen Vertragsstaat befördert wird) wurde ab dem Jahre 2000 nur
mehr an den Einsatz eines EURO 1- oder noch umweltfreundlicheren LKW und ab 2001 an
EURO 2- oder noch umweltfreundlichere LKW gebunden.

3.        Allfällige Kontingenterhöhungen im Grenzzonenbereich dienten, wie auch normale Loco-
Genehmigungen, der gebotenen Intensivierung unserer Wirtschafts- und Handelsbezie-
hungen mit den Nachbarstaaten Tschechien, Slowakei, Ungarn und Slowenien, welche
wegen der relativ kurzen Beförderungsstrecken nicht im Schienennetz abgewickelt werden.
Sie haben außerdem den verkehrssicherheits- und umweltpolitisch erwünschten Effekt, den
in diesen Regionen sehr hohen Anteil an Fahrten mit ausländischen Klein- LKW (bis zu
3,51 Nutzlast oder 61 Gesamtgewicht) entscheidend zurückzudrängen.

Die vorstehenden Grundsätze werden von meinem Ressort auch in den kommenden bilateralen
Verhandlungen beachtet werden.

Weiters möchte ich bemerken, dass sämtliche von Österreich vereinbarten Genehmigungs-
Kontingente in detaillierter Darstellung regelmäßig in der offiziellen Zeitschrift des Fachverbandes
und der Fachgruppen des Güterbeförderungsgewerbes kundgemacht werden; der entsprechende
Gesetzesauftrag dazu erfolgte im § 8 Abs. 3 des Güterbeförderungsgesetzes.


Frage 1:

Wieviele Genehmigungen über die grenzüberschreitende Beförderung von Gutem waren bzw. sind

pro Jahr mit den nachstehenden Staaten vereinbart:

Albanien, Aserbaidschan, Belarus/Weißrussland, Bosnien-Herzegowina, Bulgarien, Estland,

Georgien, Iran, Jugoslawien, Kirgisistan, Kroatien, Lettland, Litauen, Mazedonien, Moldawien, Polen,

Rumänien, Russland, Slowakei, Slowenien, Tschechien, Türkei, Ukraine, Ungarn, Zypern, weitere

Staaten (bitte um Nennung im einzelnen)?

Wir ersuchen um

a) Aufschlüsselung nach Staat;

b)  detaillierte Zahlenangaben für die Jahre 1994,1995,1996,1997, 1998,1999, 2000, 2001, 2002
(soweit fixiert), 2003 (soweit fixiert);

c)  Aufschlüsselung nach räumlichem Geltungsbereich (zB bestimmte Strecken, Grenzzonen, RoLa-
Zulauf, logo, Transit, Drittland echt/unecht; unter Erläuterung dieser Kategorien);

d) Aufschlüsselung nach zeitlicher Geltung (Dauer-, Einzel-, Halb-, sonstige Genehmigungen);

e) Angaben zu eventueller Abgabenbefreiung;

0   Angaben zur eventuellen Bindung an technisch-ökologische Kriterien wie zB an den Einsatz von

LKW gewisser Emissionsklassen;

g) Angaben zur eventuellen Bindung an Art der beförderten Güter;
h) Angaben zu eventuellen Einschränkungen des Geltungszeitraums.

Antwort:

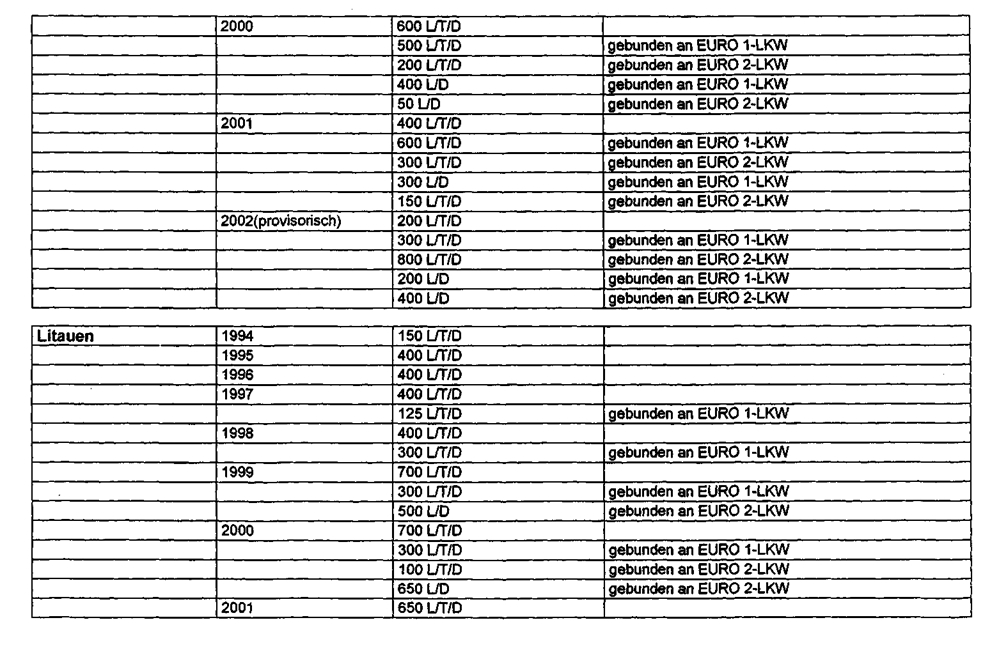
Ich erlaube mir, auf die angeschlossene Beilage 1 zu verweisen.

Die für 2001 fixierten Kontingente gelten provisorisch auch für 2002; ihre endgültige Festlegung
erfolgt entweder im Rahmen einer Gemischten Kommission oder auf schriftlichem Wege. Für 2003
gibt es, wenn nicht anders vereinbart wurde, keine Voraus-Vereinbarung.

Ergänzend darf ich darauf hinweisen, dass außerdem mit nahezu allen der angeführten
Vertragsstaaten ein Belohnungssystem für die Benützung Rollender Landstraßen vereinbart ist: Für
jeweils zwei Fahrten auf einer Rollenden Landstraße, die durch Österreich hindurch geht, oder in
Österreich beginnt oder endet, erhält der andere Staat jeweils eine Genehmigung, die für zwei
Fahrten gilt, sofern der betreffende LKW zumindest EURO 1-Standard aufweist (mit etwa 90 %
unserer Vertragspartner ist bereits EURO 2-Standard vereinbart). Die bulgarische Seite erhält
außerdem für den Transport von LKW auf Donau-Schiffen (“Schwimmende Landstraße") nach
demselben Berechnungsmodus wie für die Rollende Landstraßen Belohnungsgenehmigungen.
Schließlich erhalten die Slowakei und Ungarn noch für den Transport von jeweils 32 PKW auf
speziellen Donau-Schiffen eine Belohnungsgenehmigung für den Straßentransport.

Frage 2:

Wieviele Einzelgenehmigungen auf der Basis von §7 GBG wurden in den Jahren 1994 bis 2001
jeweils für a) Zielfahrten, b) Quellfahrten, c) Transitfahrten mit welchen Staaten zusätzlich erteilt?
Wir ersuchen um Aufschlüsselung analog zu Frage 1 a) bis c).

Antwort:

Genehmigungen nach § 7 Abs. 3 Güterbeförderungsgesetz in der Novelle BGBI. 106/2001 (alt: §
7) werden nur an Unternehmen solcher Staaten ausgegeben, mit denen es keine Kontingentver-
einbarung gibt. Diese Rechtsauffassung wurde im Jahr 1999 durch ein eigens erstelltes Rechts-
gutachten klargestellt und seither strikt befolgt.


Die in den Jahren 1994 bis 2001 erteilten Genehmigungen nach § 7 Abs 1 Z 3
GüterbeförderungsG idF der Novelle BGBI l 2001/106 (alt: Genehmigung nach § 7
Güterbeförderungsgesetz) sind aufgeschlüsselt nach Staat und Jahr der angeschlossenen Beilage
2 zu entnehmen. Für 2002 und 2003 ist keine Erteilung von Genehmigungen gemäß § 7 Abs 1 Z 3
GüterbeförderungsG fixiert, da derartige Genehmigungen grundsätzlich nur auf Antrag für
Einzelfälle erteilt werden.

Genehmigungen gemäß § 7 Abs 1 Z 3 GüterbeförderungsG sind hinsichtlich des räumlichen
Geltungsbereiches (zB. für bestimmte Strecken, Grenzzonen, RoLa-Zulauf, Loco, Drittland
echt/unecht) nicht mit irgendwelchen Auflagen verbunden bis auf sogenannte
“Überstellungsgenehmigungen".

Zur Anzahl der sogenannten “§ 7 Genehmigungen" ist weiters zu berücksichtigen, dass
Transportunternehmer von Staaten mit denen keine Kontingentvereinbarung bestanden hat,
ausschließlich unter Verwendung einer “§ 7 Genehmigung" Güterbeförderungen durchführen
durften. Mit Abschluss von Kontingentvereinbarungen wurde die Ausgabe der § 7 Genehmigungen
eingestellt (z.B. Estland, Lettland, Litauen, Belarus, Ukraine, Mazedonien, Bosnien und Kroatien).

Sogenannte “Überstellungsgenehmigungen" werden in Form von Genehmigungen nach § 7 Abs 1
Z 3 GüterbeförderungsG ausgestellt. Diese Überstellungsgenehmigungen werden nur erteilt an im
EU/EWR-Raum niedergelassene Unternehmen - die oftmals nicht als Transportunternehmer,
sondern zum Beispiel als Handelsunternehmen oder insbesondere als Gebrauchtwagenhändler
tätig sind - und berechtigen ausschließlich zu einer einmaligen Leerüberstellungsfahrt von
gebrauchten Lastkraftwagen in den Staat der künftigen Zulassung.

Frage 3:

Wie sind die “Grenzzonen" für “Grenzzonengenehmigungen'' im einzelnen definiert, und welche
Änderungen dieser Definition gab es seit 1994?

Antwort:

Grenzzonengenehmigungen sind - naturgemäß - nur mit den Nachbarstaaten Tschechien,
Slowakei, Ungarn und Slowenien vereinbart. Die jeweiligen Umfange der Grenzzonen in den
Jahren 1994 und 2001 entnehmen Sie bitte der angeschlossenen Beilage 3.

Besonders hinweisen möchte ich, dass seit dem Jahre 2000 - mit Ausnahme der Aufnahme des
Bezirkes Hartberg in die Grenzzonenregelung mit Ungarn - keine Grenzzonenerweiterung direkt
vorgenommen worden ist.

Frage 4:

Wie und wann sind die “Abgabenbefreiungen" dort, wo sie bestehen, entstanden, welchen
monetären Gegenwert repräsentieren sie und welche sachliche Rechtfertigung besteht für sie?

Antwort:

Sofern mit dieser Frage an vereinbarte Kontingente gebundene Gebühren gemeint sein sollten,
wird bemerkt, dass kontingentierte Transportgenehmigungen seit jeher von Abgaben befreit sind.
Ob und inwieweit unsere ausländischen Vertragspartner für die Ausstellung von Österreich-
Genehmigungen Manipulationsgebühren einheben, kann nicht festgestellt werden.


Frage 5:

Welche Informationen liegen Ihnen zur durchschnittlichen jährlichen Fahrtenzahl pro Universal-
Dauergenehmigung, nach den betreffenden Staaten aufgeschlüsselt, für die Jahre seit 1994 vor?

Antwort:

Zur Anzahl der Fahrten, die mit Universaldauergenehmigungen durchgeführt werden, liegen dem
Bundesministerium für Verkehr, Innovation und Technologie keine Daten vor, da derartige Daten
statistisch nicht erhoben werden.

Frage 6:

Wie hat sich die Zahl der Unternehmen, die im Besitz der in Frage 1 angesprochenen
Genehmigungen sind, pro Staat seit 1994 verändert?

Antwort:

Die Zahl der Unternehmen, die in Österreich im Besitz von Genehmigungen für den
grenzüberschreitenden Straßengüterverkehr sind, hat sich im wesentlichen kaum verändert, da
den neu in den Markt eintretenden Unternehmen ein Konzentrationsprozess gegenüberzustellen
ist, in dem durch Aufkauf und Übernahme größere Einheiten entstanden sind. Die für die Vergabe
von Genehmigungen gültige Kontingenterlaubnis-Vergabeverordnung (BGBI. II
1999/519)
begünstigt Unternehmen, die bereits am Markt tätig sind, da diese Rechtsansprüche auf
Wiedererteilung von Genehmigungen haben. Wie weit sich die Zahl der Unternehmen in anderen
Staaten geändert hat, ist in meinem Ressort nicht bekannt.

Frage 7:

In welcher Weise wurden seit Jahresbeginn 2000 im einzelnen die Anstrengungen verstärkt, die
Belastungen von Mensch und Umwelt durch die Nutzer von Genehmigungen nach §§7 und 8 des
Güterbeförderungsgesetzes zu senken, etwa durch strengere Umweltauflagen (bitte anführen),
intensivere und/oder häufigere Kontrollen (bitte Zahlen anführen) u.a.m.?

Antwort:

Ab dem Jahre 2000 wurden auf dem Kontingentsektor insoweit Maßnahmen zur entscheidenden
Reduzierung der Umweltbelastungen gesetzt, als jede zusätzlich vereinbarte Genehmigung an den
Einsatz eines EURO 1 - oder noch umweltfreundlicheren Lkw gebunden wurde. Seit 2001
erfolgen Kontingentanhebungen nur mehr unter gleichzeitiger Bindung an EURO 2 - Lkw oder
noch umweltfreundlichere Fahrzeuge.

Die Kontrollen der Österreich-Genehmigungen für ausländische Transportunternehmer erfolgen
an unseren EU- Außengrenzen schon jetzt in sehr rigoroser Form und lückenlos, sodass sie nicht
noch weiter intensiviert werden müssen. Die Kontrollen im Binnenland erfolgen stichprobenartig,
wobei deren Intensität von Bundesland zu Bundesland verschieden ist, was von meinem Ressort
mangels Zuständigkeit nicht beeinflusst werden kann.

Frage 8:

Welche Maßnahmen haben Sie seit Jahresbeginn 2000 gesetzt, um Missbräuche und
Intransparenzen im Zusammenhang mit CEMT-Genehmigungen abzustellen?

Antwort:

Seitens des Verkehrsressorts werden seit Jahren laufend Informations- und
Schulungsveranstaltungen für die Kontrollorgane zu den einschlägigen Vorschriften im Bereich der


Güterbeförderung - einschließlich der Vorschriften der CEMT - auf der Straße mit LKW
durchgeführt. Dies nicht erst seit Jahresbeginn 2000.

Zu den einschlägigen Vorschriften im Bereich der Güterbeförderung auf der Straße mit LKW
werden in Zusammenarbeit mit den für die Kontrolle zuständigen Bundesministerien für Finanzen
und Inneres jeweils ausführliche Arbeitsunterlagen erstellt und laufend aktualisiert. Konkrete
Fragen der Kontrollorgane werden durch die Mitarbeiter der zuständigen Fachabteilung meines
Ressorts beantwortet.

Der Vollständigkeit halber wird aber festgehalten, dass die Kontrolle der ordnungsgemäßen
Benützung der Genehmigungen nicht meinem Ressort obliegt.

Frage 9:

Wieviele Österreich berührende Fahrten werden pro Jahr mit CEMT-Umzugsgenehmigungen
durchgeführt, und wie entwickelte sich diese Zahl in den Jahren seit 1994?

Antwort:

Die CEMT Umzugsgenehmigung ist rechtlich gesehen keine Genehmigung, sondern eine
Bestätigung darüber, dass es sich um ein Unternehmen handelt, das zur Durchführung
grenzüberschreitender Beförderungen von Umzugsgut berechtigt ist und über die entsprechende
Ausrüstung und Fachkräfte zur Beförderung von Umzugsgut verfügt.

Diese Fahrten fallen sowohl im Ökopunktesystem als auch im bilateralen Genehmigungssystem
unter den Begriff "genehmigungsfreie Fahrten" und sind statistisch nicht erfasst.

Frage 10:

Welche Lösung streben Sie für den Zeitraum nach 2003 für die derzeit durch Kontingente
geregelten Marktsegmente an und was haben Sie im einzelnen bereits zur Durchsetzung dieser
Lösung unternommen, unter anderem im Rahmen der EU-Erweiterungsverhandlungen/Kapitel
Verkehr?

Antwort:

Wie Ihnen sicherlich bekannt ist, prognostiziert eine österreichische Studie für den Fall der
Liberalisierung des grenzüberschreitenden Straßengüterverkehrs aus den und in die mittel- und
osteuropäischen Länder einen Anstieg des gesamten Straßengüterverkehrs - gemessen in
Tonnenkilometern - in Österreich um 70%, wobei der relativ größte Zuwachs mit den
Beitrittskandidaten aus Mittel- und Osteuropa bis 2015 neben der Pontebbana-Achse für die
Verkehrsachsen entlang der Donau angenommen wird.

Da Österreich aufgrund seiner geographischen Lage im Zentrum Europa von den großen
europäischen Verkehrsströmen in besonderem Ausmaß betroffen ist verfolge ich daher -
insbesondere auch vor dem Hintergrund der geplanten EU-Erweiterung - seit jeher konsequent
eine Verkehrspolitik, die darauf abzielt, Bevölkerung und Umwelt vor den negativen Auswirkungen
des Straßengüterverkehrs, wie Schadstoffen, Lärm, Staus, Beeinträchtigung der
Verkehrssicherheit etc. umfassend und nachhaltig zu schützen und die negativen Folgen des
stetig steigenden Verkehrsaufkommens durch eine Optimierung der Nutzung der vorhandenen
Kapazitäten der verschiedenen Verkehrsträger so gering wie möglich zu halten.


Die für diese Zielsetzung unerlässliche Gewährleistung von hohen Sicherheits- und
Umweltstandards sowie von fairen Wettbewerbsbedingungen wird von den entsprechenden
Rechtsvorschriften im verkehrsrelevanten technischen, ökologischen, sozialen, fiskalischen,
sicherheits- und umweltbezogenen Acquis Communautaire im Verhältnis zu den Mitgliedstaaten
der EU sichergestellt. Ein wichtiges Instrument, das Österreich in diesem Zusammenhang zur
Verfügung steht, ist das gemäß Protokoll Nr. 9 des österreichischen Beitrittsvertrags zur EU
vorgesehene Ökopunktesystem.

Die Funktion der Sicherstellung der Einhaltung von Umwelt- und Sicherheitsstandards im
Verhältnis zu den Nicht-EU-Mitgliedstaaten wird durch die mit diesen bilateral vereinbarten
Kontingenten erfüllt, da die Vergabe von Kontingenten an die Einhaltung eben dieser Umwelt- und
Sicherheitsstandards gebunden ist.

Im Rahmen der Verhandlungen über die EU-Erweiterung hat Österreich daher stets die Position
vertreten, dass eine schrittweise Öffnung des Straßengüterverkehrsmarktes nur unter der
Voraussetzung erfolgen kann, dass die Beitrittskandidaten alle verkehrsrelevanten technischen,
ökologischen, sozialen, fiskalischen, sicherheits- und umweltbezogenen Vorschriften sowohl auf
dem Papier harmonisiert und umgesetzt haben als auch tatsächlich in der Praxis anwenden.
Österreich hat in diesem Sinne schon am 7. Dezember 1999 in einer einseitigen Erklärung zum
Protokoll des Rates zu den ersten Gemeinsamen Standpunkten der EU im Verhandlungskapitel
Verkehr betont, im Kontext einer erweiterten Union dem Ziel der nachhaltigen Senkung der von
Lastkraftwagen verursachten Schadstoffemissionen im Straßenverkehr verpflichtet zu sein, sodass
Österreichs Zustimmung zu den endgültigen Ergebnissen der Erweiterungsverhandlungen von
einer zufriedenstellenden Lösung in Bezug auf die Erreichung des oben erwähnten Zieles
abhängen wird.

Im Hinblick auf die Sicherstellung der nicht zuletzt aus der Anwendung des Ökopunktesystems
resultierenden Umweltverbesserungen auch für die Zeit nach Auslaufen des Transitvertrages mit
31. Dezember 2003 zielen die laufenden Verhandlungen mit der Europäischen Kommission darauf
ab, eine rechtliche Lücke zwischen diesem Datum und dem Inkrafttreten der neuen EU-
Wegekostenrichtlinie zu verhindern. Österreich konnte in dieser Frage erreichen, dass die
Bereitschaft der Kommission, eine entsprechende Übergangsregelung für diesen Zeitraum zu
vereinbaren, im Weißbuch “Die europäische Verkehrspolitik 2010 - Weichenstellungen für die
Zukunft" verankert und von EU-Verkehrskommissarin de Palacio ausdrücklich in Aussicht gestellt
wurde.

Aus österreichischer Sicht ist es in diesem Zusammenhang vor allem auch wichtig, dass die
Beitrittskandidaten diese zu vereinbarende Übergangsregelung in ihrer Ausgestaltung und Dauer
als acquis übernehmen, insbesondere weil es auch um eine langfristige, nachhaltige und
dauerhafte Verkehrslösung geht.

Die Frage der Weiterführung der bilateralen Abkommen zwischen Österreich und den
Beitrittskandidaten mit dem System von Kontingenten ist in diesem Sinne als eine der


verfahrenstechnischen Möglichkeiten zu sehen, die Kandidatenländer in das System des zu
vereinbarenden Übergangsregimes einzubeziehen. Eine weitere Möglichkeit sicherzustellen, dass
es mit dem Beitritt der Kandidatenländer Mittel- und Osteuropas nicht durch eine plötzliche, völlige
Liberalisierung des grenzüberschreitenden Straßengüterverkehrs zu den drohenden massiven
Verkehrszunahmen kommen wird, stellt die “Umwandlung" eines Teiles der Kontingente in
Ö
kopunkte dar.

3 Beilagen