3843/AB XXI.GP
Eingelangt am: 08.07.2002
BM für soziale Sicherheit und Generationen
Ich beantworte die an mich gerichtete
schriftliche parlamentarische Anfrage
Nr.
3856/J der Abgeordneten Mag. Maier und Genossinnen wie folgt:
Fragen 1 und 2:
Die im Einleitungstext der Anfrage
beschriebene Entgegennahme von Geschenken
würde gegen § 55 Arzneimittelgesetz verstoßen und ist auf
dieser Basis strafbar.
Gemäß dieser Bestimmung ist es
im Rahmen der Verkaufsförderung für Arzneimittel
bei den zu deren Verschreibung oder Abgabe berechtigten Personen verboten, die-
sen eine Prämie, finanzielle oder materielle Vorteile zu gewähren,
anzubieten oder
zu versprechen, es sei denn, diese sind von geringem Wert und für die
medizinische
oder pharmazeutische Praxis von Belang. Der Repräsentationsaufwand im
Rahmen
der Verkaufsförderung hat darüber hinaus in einem vertretbaren Rahmen
zu bleiben.
Den zur Verschreibung oder zur Abgabe berechtigten Personen ist es untersagt,
ei-
ne Prämie, finanzielle oder materielle Vorteile zu fordern, sich
versprechen zu lassen
oder
anzunehmen.
Gemäß § 84 Z 9
Arzneimittelgesetz stellt ein Verstoß gegen diese Bestimmung,
sofern die Tat nicht mit gerichtlicher Strafe bedroht ist, eine
Verwaltungsübertretung
dar.
Fragen 3 bis 6:
Bisher
wurden meinem Ressort keine Anhaltspunkte, die für die Annahme derartiger
Verbindungen nach Österreich sprechen, zur Kenntnis gebracht. Im
Übrigen verwei-
se ich auf die Beantwortung
der Fragen 13 bis 16.
Frage 7:
Ich halte das Bestehen derartiger Praktiken auch in
Österreich in Einzelfällen leider
nicht
für unmöglich.
Frage 8:
Im Zeitraum von 1997 bis 2000 waren in
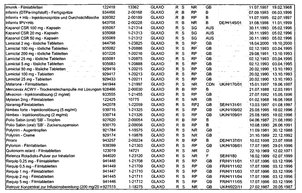
Österreich die aus der beiliegender Tabelle
(“02/05/16 Prod. GSK" - 214 Produkte) ersichtlichen Produkte auf den
Zulassungs-
inhaber GlaxoSmithKline
Pharma GmbH, Albert Schweizergasse 6, 1140 Wien, zu-
gelassen. Bei einigen dieser Produkte handelt es sich aber sicher auch um
solche,
die vorher nur auf die Firma Glaxo Wellcome zugelassen waren. Nach der
Fusionie-
rung und der Übertragung
kann jedoch im vorhandenen Pharma IS System dies
nicht mehr eruiert werden. Zusätzlich gibt es noch zentrale Zulassungen
(siehe “GSK
- zentrale Zulassung") und Zulassungen auf GlaxoSmithKlineConsumer Health
Ga-
re, DE
(siehe “GSK-DE-ZUL").
Frage 9:
Hierzu hat der Hauptverband der österreichischen
Sozialversicherungsträger folgen-
de Werte bekannt gegeben, wobei die Daten für das Jahr 1997 vom Umsatz auf
Ba-
sis der Fabriksabgabepreise hochgerechnet wurden:
1997: rd. € 82,0 Mio.
1998: rd.€ 79,6 Mio.
1999: rd.€ 85,9 Mio.
20001 rd.€ 88,2 Mio.
1 Datenquelle: Informationssystem PEGASUS bzw. Auswertungen aus der
maschinellen Heil-
mittelabrechnung: Kassenverkaufspreise ohne Umsatzsteuer bzw. ohne
Berücksichtigung von
Nachlässen, etc. auf Basis der Meldungen der
Krankenversicherungsträger;
Arzneispezialitäten unter der jeweiligen Rezeptgebühr sind nur zu
einem kleinen Teil erfasst.
Frage 10:
Zwischen 1. Jänner 1997 und 31. Dezember 2000 wurden
in Österreich auf den Zu-
lassungsinhaber GlaxoSmithKline Pharma GmbH.,
Albert Schweizerg. 6, 1140 Wien,
36
Arzneispezialitäten zugelassen (siehe “GSK-ZUL
1.1.97-31.12.00").
Frage 11:
Seit 1. Jänner 2001 wurden in
Österreich auf den Zulassungsinhaber Glaxo-
SmithKline Pharma GmbH., Albert Schweizerg. 6, 1140 Wien, 10
Arzneispezialitäten
zugelassen
(siehe “GSK-ZUL ab 1.1.2001").
Frage 12:
Hierzu
darf auf die beiliegende Aufstellung des Hauptverbandes der
österreichischen
Sozialversicherungsträger hingewiesen werden.
Fragen 13 bis 16:
Diese Fragen betreffen den Wirkungsbereich des Bundesministers für Justiz.
Frage 17:
Gemäß § 72 des
Arzneimittelgesetzes darf die Tätigkeit eines Pharmareferenten/
einer Pharmareferentin nur von Personen ausgeübt werden, die entweder ein
Uni-
versitätsstudium aus den Studienrichtungen Medizin, Veterinärmedizin
oder Phar-
mazie erfolgreich abgeschlossen
haben oder durch eine Prüfung nachgewiesen
haben, dass ihre
Berufsvorbildung im Hinblick auf die Tätigkeit eines Pharmareferen-
ten/einer Pharmareferentin der Berufsvorbildung aus den angeführten
Studienrich-
tungen gleichzuhalten ist, was durch eine Prüfung beim Bundesministerium
für so-
ziale Sicherheit und Generationen nachzuweisen ist.
Die entsprechende Qualifikation ist der
Dienstgeberfirma vorzulegen, in deren Inte-
resse eine fachkundige Beratung, ausschließlich durch qualifizierte
Mitarbeiterinnen,
gelegen ist.
Fragen 18 und 19:
Die Bestimmungen des Arzneimittelgesetzes
und der Verordnung hinsichtlich Phar-
mareferentlnnen halte ich im Sinne einer fachlich hochwertigen Information zur
Er-
weiterung des Fachwissens von Ärztinnen und ApothekerInnen und im Hinblick
auf
eine Erhöhung der Transparenz des Arzneimittelmarktes für
ausreichend.
|
|
|
|
|
|
|
|
|
|
|
|
|
|
|
|
|
|
|
|
|
|
|
|
|
|