714/AB XXI.GP

 

B e a n t w o r t u n g

 

der Anfrage des Abgeordneten Pirklhuber

betreffend Zahl der Biobetriebe in Österreich gem. EG - VO 2092/91,

(Nr. 795/J)

 

 

Zur vorliegenden Anfrage führe ich Folgendes aus:

 

Zu den Fragen 1 bis 3:

 

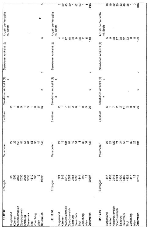
Die Zahl der Erzeuger, Verarbeiter und Einführer nach der Verordnung (EWG) Nr.

2092/91 mit Stichtag 31.12. in den Jahren 1997,1998 und 1999 ‚aufgeschlüsselt nach Bun -

desländern und für gesamt Österreich ergibt sich aus der angeschlossenen Exel - Datei.

Eine Datenerhebung zum Stichtag 1.1.2000, weiters über die Verteilung der Betriebe nach

politischen Bezirken sowie über die Art der Sanktionen aufgeschlüsselt nach bäuerlichen

Betrieben, Verarbeitungs - und Handeisbetrieben sieht diese EG - Verordnung nicht vor.

Eine derartige Erhebung wäre daher nur mit unverhältnismässig hohem Verwaltungsauf -

wand durchzuführen.

 

Die Daten für 1999 stellen ein vorläufiges Ergebniss dar und können daher von der mit En -

de Juni fälligen jährlichen Meldung an die EK noch geringfügig abweichen.

 

Beilage:

Tabelle