1424/AB XXII. GP
Eingelangt am 02.04.2004
Dieser Text ist elektronisch textinterpretiert. Abweichungen vom Original sind
möglich.
BM für Land- und Forstwirtschaft,
Umwelt und Wasserwirtschaft
Anfragebeantwortung
Auf die schriftliche Anfrage der
Abgeordneten Mag. Maier, Kolleginnen und Kollegen vom
10.
Februar 2004, Nr. 1417/J, betreffend Leader+ / Projekte in Österreich, beehre
ich mich
Folgendes
mitzuteilen:
Zu Frage 1:
Das LEADER+ Programm Österreich 2000 -
2006 wird in allen österreichischen Bundeslän-
dern mit Ausnahme von Wien umgesetzt. Seit
Beginn der Programmumsetzung im Jahr
2001 wurden bis Ende Jänner 2004 insgesamt 629 Projekte fördertechnisch
genehmigt. Die-
se Zahl entspricht in etwa der Zahl der beantragten Projekte, da die
Projektträger in der Re-
gel im Vorfeld der Beantragung mit den
Förderstellen in Kontakt treten und die Anträge mit
den Förderstellen abgestimmt werden.
Um den Festlegungen des LEADER+
Programms Österreich zu entsprechen, die einen in-
tegrierten, sektorübergreifenden Ansatz zur Stärkung der LEADER+ Regionen
implizieren,
betreffen die genehmigten Projekte eine Vielzahl an unterschiedlichen
Bereichen. Um eine
Klassifizierung der im Rahmen der EU-Strukturfonds durchgeführten Projekte zu
ermögli-
chen,
sieht der Anhang IV der Verordnung (EG)
Nr. 438/2001 eine Einteilung der geförderten
Maßnahmen in so genannte Interventionsbereiche vor.
In der Anlage findet sich eine Zuordnung
der 629 bis Ende Jänner 2004 genehmigten LEA-
DER+ Projekte auf die programmbeteiligten
Bundesländer und zu den Interventionsberei-
chen gem. Anhang IV der Verordnung (EG) Nr. 438/2001.
Zu Frage 2:
Die genehmigten Projektzeiträume
variieren von Projekt zu Projekt. Vorhaben mit kurzen
Umsetzungszeiträumen
stehen Projekten wie dem Management der Lokalen Aktionsgruppen
gegenüber, die teilweise bereits für die gesamte Programmlaufzeit bis Ende des
Jahres 2006
genehmigt wurden.
Zu Frage 3:
Das LEADER+ Programm
Österreich 2000 - 2006 sieht Gesamtkosten von
EUR
161.500.000 vor, davon Mittel des EAGFL-Ausrichtung in Höhe von EUR 75.500.000,
Bundesmittel (EUR 15.680.000) und Landesmittel (EUR 12.320.000) sowie
Privatmittel in
Höhe
von EUR 58.000.000.
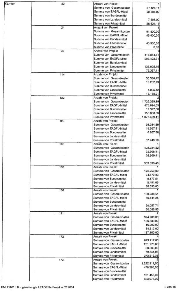
Die Kostenverteilung der bereits
genehmigten 629 Projekte auf die verschiedenen Finanzie-
rungsquellen (EAGFL-Ausrichtung, Bund,
Bundesländer, Privat) und die Aufschlüsselung
nach Bundesländern ist aus der Anlage
ersichtlich und in nachstehender Übersicht ohne
Berücksichtigung der Interventionsbereiche noch einmal zusammengefasst:
|
Bundesland |
Projekt- |
Gesamtkosten |
EAGFL-Mittel |
Bundesmittel |
Landesmittel |
Privatmittel |
|
Burgenland |
41 |
5.364.896,42 |
2.237.649,65 |
427.796,27 |
397.399,37 |
2.302.051,13 |
|
Kärnten |
82 |
17.811.389,44 |
6.847.321,70 |
634.268,54 |
2.133.297,99 |
8.196.501,20 |
|
Niederösterreich |
160 |
15.506.211,27 |
6.344.609,48 |
650.894,91 |
2.240.947,22 |
6.269.759,67 |
|
Oberösterreich |
103 |
10.939.998,87 |
5.148.768,22 |
622.775,79 |
1.325.500,82 |
3.868.474,03 |
|
Salzburg |
61 |
4.155.626,33 |
1.088.858,66 |
418.051,74 |
454.000,38 |
2.194.715,56 |
|
Steiermark |
90 |
23.978.812,26 |
6.977.008,38 |
1.306.677,10 |
2.550.127,32 |
13.144.999,46 |
|
Tirol |
54 |
4.560.254,89 |
1.953.308,07 |
360.495,87 |
308.037,11 |
1.938.413,84 |
|
Vorarlberg |
34 |
2.976.657,00 |
1.419.113,65 |
46.703,97 |
207.704,63 |
1.303.134,75 |
|
Bund |
4 |
414.452,71 |
207.226,36 |
207.226,36 |
0,00 |
0,00 |
|
Summe |
629 |
85.708.299,19 |
32.223.864,16 |
4.674.890,55 |
9.617.014,84 |
39.218.049,64 |
Zu den Fragen 4, 7
und 8:
Neben den auf
Länderebene angesiedelten Kontrollstellen gemäß Artikel 10 der Verordnung
(EG)
Nr. 438/2001 werden auch seitens des Bundesministeriums für Land- und
Forstwirt-
schaft, Umwelt und
Wasserwirtschaft Kontrollen bei den programmbeteiligten Stellen durch-
geführt. Konkret überprüft das Bundesministerium für Land- und Forstwirtschaft,
Umwelt und
Wasserwirtschaft die Funktion des Verwaltungs- und Kontrollsystems bei der
Verwaltungs-
behörde und bei den zwischengeschalteten Stellen sowie die von den programmverantwort-
lichen Landesstellen erstellten
Ausgabenerklärungen, letzteres erfolgt durch die Zahlstelle
des LEADER+ Programms.
Die seitens des Bundesministeriums für Land- und
Forstwirtschaft, Umwelt und Wasserwirt-
schaft durchgeführten Kontrollen ergaben eine
niedrige Fehlerhäufigkeit und eine geringe
Zahl an Kritikpunkten. Konkrete
Kritikpunkte waren die Tätigkeit der 5 %-Kontrollstellen ge-
mäß Verordnung (EG) Nr. 438/2001, die Einhaltung der
Publizitätsvorschriften, die Handha-
bung des Stichtages für die Anerkennung von Kosten, der Vorsteuerabzug bei
Reisekosten,
die Berücksichtigung von projektspezifischen
Einnahmen, die Einhaltung von Degression
bzw. von Obergrenzen bei der Personalkostenförderung und Formulierungen
von Förderzu-
sagen.
Im Zuge von
follow-up-Prüfungen wurde festgestellt, dass die genannten Mängel von den
Abwicklungsstellen
auf zufrieden stellende Art und Weise behoben wurden.
Lediglich im Zuge der Überprüfung der
programmverantwortlichen Landesstelle im Bundes-
land Salzburg wurde festgestellt, dass die
personelle Ausstattung dieser Stelle für die Um-
setzung des LEADER+ Programms im Bundesland Salzburg nicht ausreichend
gegeben ist.
Daraufhin wurde seitens der Zahlstelle des
LEADER+ Programms Österreich verfügt, dass
bis zu einer Verbesserung dieser Situation vorübergehend keine Mittel
des Bundesministeri-
ums für Land- und Forstwirtschaft, Umwelt und
Wasserwirtschaft und des EAGFL-
Ausrichtung an die
programmverantwortliche Landesstelle im Bundesland Salzburg weiter-
geleitet werden. Von dieser Maßnahme waren jene Projekte im
Verantwortungsbereich der
programmverantwortlichen Landesstelle in Salzburg betroffen, die im
Zeitraum des vorüber-
gehenden Anweisungsstopps Zahlungen des
Bundesministeriums für Land- und Forstwirt-
schaft, Umwelt und Wasserwirtschaft bzw. des EAGFL-Ausrichtung erhalten
hätten können.
Mittlerweile wurde
das Bundesministerium für Land- und Forstwirtschaft, Umwelt und Was-
serwirtschaft von der
programmverantwortlichen Landesstelle im Bundesland Salzburg dar-
über informiert, dass die personelle
Situation bereits verbessert wurde. Seitens des Bun-
desministeriums für Land- und
Forstwirtschaft, Umwelt und Wasserwirtschaft wird dem-
nächst eine follow-up-Prüfung in Salzburg durchgeführt werden, um zu
überprüfen, ob damit
wieder eine programmkonforme Umsetzung gewährleistet ist. Angesichts der
Gesamtpro-
grammlaufzeit besteht keine Gefahr, dass durch diesen kurzzeitigen
Anweisungsstopp Mittel
des EAGFL-Ausrichtung verloren gehen werden.
Zu den Fragen 5 und 6:
Seitens der europäischen Organe erfolgte eine Prüfung durch
die Finanzkontrolle der Gene-
raldirektion Landwirtschaft der Europäischen
Kommission, welche ein äußerst positives Er-
gebnis brachte. Lediglich die
quantitative personelle Ausstattung der Zahlstelle des LEA-
DER+ Programms wurde kritisch
beurteilt. Diese Situation wurde mittlerweile entsprechend
verbessert.
Zu Frage 9:
In Anbetracht der
gesamten Programmlaufzeit ist nicht davon auszugehen, dass es durch
den kurzfristigen Anweisungsstopp, der lediglich Mittel des Bundesministeriums
für Land-
und
Forstwirtschaft, Umwelt und Wasserwirtschaft und des EAGFL-Ausrichtung, nicht
jedoch
Landesmittel bzw.
Bundesmittel anderer Ressorts betrifft, zu einer existentiellen Gefährdung
von Lokalen Aktionsgruppen kommt.
Die programmverantwortliche Landesstelle im Bundesland
Salzburg wird jedoch angehalten
werden, jene Initiativen, die vom vorübergehenden Anweisungsstopp
beeinträchtigt wurden,
nach Aufheben des Anweisungsstopps
vorrangig zu behandeln.
Zu Frage 10:
Wie bereits in den Antworten zu den
Fragen 4 bis 8 angeführt, ergaben die bislang im Rah-
men des LEADER+
Programms Österreich durchgeführten Kontrollen bei den Abwicklungs-
stellen in den Bundesländern eine niedrige
Fehlerhäufigkeit und kaum Anlass zu Kritik. Die
festgestellten Mängel wurden von den
Abwicklungsstellen auf zufrieden stellende Art und
Weise
behoben.
Zur Sicherstellung der
vorgabenkonformen Abwicklung des LEADER+ Programms Öster-
reich
2000 - 2006 werden die zuständigen Organe des Bundesministeriums für Land- und
Forstwirtschaft,
Umwelt und Wasserwirtschaft (Verwaltungsbehörde, Zahlstelle und Finanz-
kontrolle) ihre Aufgaben weiterhin konsequent, wie auch durch die Prüfung der Finanzkon-
trolle der Europäischen Kommission bestätigt wurde, wahrnehmen. Im Zuge der
Programm-
koordination werden die programmbeteiligten Bundes- und Landesstellen,
ebenfalls wie bis-
her, regelmäßig auf die Einhaltung der einschlägigen Rechtsbestimmungen
hingewiesen
werden.








