601/AB XXII. GP
Eingelangt am 28.08.2003
Dieser Text ist elektronisch textinterpretiert. Abweichungen vom Original sind
möglich.
BM für Gesundheit und Frauen
Anfragebeantwortung
Ich beantworte
die an mich gerichtete schriftliche parlamentarische Anfrage
Nr. 717/3 der Abgeordneten Mag. Maier und GenossInnen wie folgt:
Fragen 1 bis 24:
Die vorliegende Anfrage
bezieht sich auf Daten einzelner Krankenversicherungs-
träger. Ich verweise daher auf das beiliegende Schreiben des Hauptverbandes
der österreichischen Sozialversicherungsträger, in dem zu den einzelnen Fragen
Stellung genommen wird.
Betr.: Parlamentarische Anfrage betreffend
Sozialversicherungsbeiträge -
Gemeinsame Prüfung aller lohnabhängiger
Abgaben
Bezug: Ihr Schreiben vom 21 Juli 2003; GZ 90.001 /17-I/B/9/03
Zur gegenständlichen Anfrage nimmt der Hauptverband wie folgt Stellung:
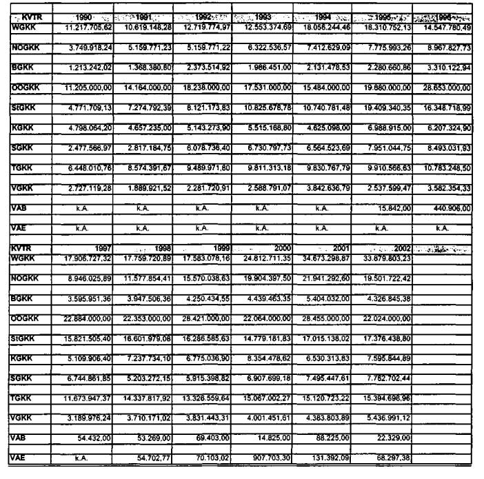
Zu Frage 1: Wie hoch
ist die Summe der zum Stichtag 31.12.2002 und 30.6.2003 überfälli-
gen Beiträge, wobei unter überfällig die Summe jener Beiträge
verstanden
wird, die auf Grund der Bestimmungen zu diesem Zeitpunkt schon
angeführt
sein müssten?
|
Gebietskrankenkassen |
Rückstände
am Ende des |
|
|
Juni 2002 |
Dezember 2002 |
|
|
Alle GKK |
831,3 |
845,5 |
|
WGKK |
319,3 |
320,4 |
|
NÖGKK |
109,9 |
117,5 |
|
BGKK |
23,0 |
23,6 |
|
OÖGKK |
135,2 |
144,8 |
|
StGKK |
87,4 |
62,6 |
|
KGKK |
37,6 |
38,4 |
|
SGKK |
50,2 |
53,5 |
|
TGKK |
50,7 |
69,5 |
|
VGKK |
18,0 |
15,2 |
Zu Frage 2: Wie
viele Ratenvereinbarungen und in welcher Höhe wurden mit
Stichtag
31.12.2002 und 30.6.2003 für aus haftende Beiträge mit
Dienstgebern abgeschlossen?

zu Frage 3 und 4 : Wie viele Verfahren um Beiträge wurden bzw. werden mit Stichtag
31.12.2002 und 30.6.2003 derzeit vor Gerichten geführt?

zu Frage 5: Wie viele Exekutionen gegen Dienstgeber und in welcher Höhe waren
bzw. sind diese mit Stichtag 31.12.2002. und
30.6.2003 derzeit an-
hängig?

zu Frage 6: Wie hat sich der Personalstand der Beitragsprüfungabteilungen 1990
bis 30.6.2003 entwickelt?

zu Frage 7:
Wie hat sich der Personalstand der Beitragseinbringung von 1990 bis
30.6.2003 entwickelt?

zu Frage 8: Welche
Summen ergeben sich durch die jährliche Nachverrechnung
von Beiträgen nach
Beitragsprüfungen von 1990-2002

Frage 9: Summen von
SV-Beiträgen durch die Beitragseinbringung 1990-2002?

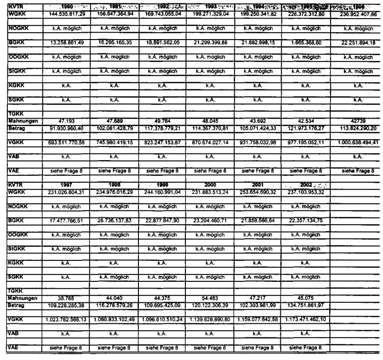
Zu Frage 10 und 12: Wie viele Betriebe bzw. Dienstnehmer wurden im 1. und 2. Quartal
2002 durch die
Beitragsprüfungsabteilungen der Sozialversiche-
rungsträger geprüft und wie hoch war die Summe der nachverrech-
neten SV-Beiträge nach einer Beitragsprüfung?

Zu Frage 11 und 13: Wie viele Betriebe bzw. Dienstnehmer wurden im 1. und 2. Quartal
2003 durch die
Beitragsprüfungsabteilungen der Sozialversiche-
rungsträger bzw. der FLD geprüft und wie hoch ist die Summe der
nachverrechneten Beiträge nach einer Beitragsprüfung?

|
Aufteilung nach Versicherungsträgern |
|||||||||
|
VAB |
Summe |
- |
- |
- |
- |
- |
|||
|
VAÖE |
Summe |
16,00 |
1.110,00 |
9.286,96 |
498,54 |
- |
|||
|
WGKK |
Summe |
3.056,00 |
84.040,00 |
11.114.132,12 |
615.498,00 |
554,00 |
|||
|
NOGKK |
Summe |
1 .376,00 |
45.499,00 |
5.505.844,20 |
316.383,39 |
- |
|||
|
BGKK |
Summe |
694,00 |
10.262,00 |
1.220.509,14 |
25.494,86 |
42.418,32 |
|||
|
OOGKK |
Summe |
1 .762,00 |
50.818,00 |
5.477.005,04 |
372.999,81 |
- |
|||
|
STGKK |
Summe |
1.328,00 |
- |
4.532.373,20 |
125.777,97 |
- |
|||
|
KGKK |
Summe |
266,00 |
9.950,00 |
56.913,35 |
7.525,51 |
- |
|||
|
SGKK |
Summe |
623,00 |
21.442,00 |
1 .630.554,00 |
25.414,00 |
37.569,00 |
|||
|
TGKK |
Summe |
894,00 |
9.293,00 |
2.486.814,54 |
170.711,86 |
15.996,25 |
|||
|
VGKK |
Summe |
604,00 |
16.993,00 |
1.237.285,96 |
147.681,60 |
- |
|||
|
|
ENDSUMME |
10.619,00 |
249.407,00 |
33.270.718,51 |
1.807.985,54 |
96.537,57 |
|||
|
GESAMTAUFSTELLUNG - PRÜFUNG d. d. FLD |
|
||||||||
|
GESAMTAUFSTELLUNG – PRÜFUNG d. d. FLD |
|
||||||||
|
Zeitraum Jänner bis Mai 2003 |
|
||||||||
|
|
Zahl der Prüfungen |
Nachrechnungssumme |
|
||||||
|
TIROL |
198 |
91.535,69 |
|
||||||
|
BURGENLAND |
0 |
0 |
|
||||||
|
SALZBURG |
16 |
5.737,00 |
|
||||||
|
STEIERMARK |
259 |
96.771,90 |
|
||||||
|
VORARLBERG |
0 |
0 |
|
||||||
|
WIEN |
267 |
364.450,39 |
|
||||||
|
NIEDERÖSTERREICH |
69 |
291763,42 |
|
||||||
|
OBERÖSTERREICH |
188 |
0 |
|
||||||
|
KÄRNTEN |
11 |
6.337,45 |
|
||||||
|
FINANZ GESAMT |
1008 |
856.595,85 |
|
||||||
Zu Frage 14: Wie viele Bedarfsprüfungen nach § 42 ASVG wurden durch die
einzelnen
Sozialversicherungsträger
im 1. und 2. Quartal 2002 durchgeführt?
WGKK: Betreffend
die Anzahl der Bedarfsprüfungen nach § 42 ASVG im 1. und 2. Quartal
2002 können keine Angaben gemacht werden, da vor Einführung der gemeinsa-
men Prüfung aller lohnabhängigen Abgaben keine statistische Auswertung der
durchgeführten Bedarfsprüfungen erfolgte.
NÖGKK: Keine Angaben, da bis einschließlich
2002 keine eindeutigen Unterscheidungs-
kennzeichen zwischen Bedarfs- und Routineprüfungen zur Verfügung stehen.
BGKK: Die
Jahresstatistik beinhaltet das Zahlenmaterial für alle im Jahr 2002 geprüften
DG-Konten, ohne Differenzierung in Bedarfsprüfung und Prüfung aus dem Prüf-
plan sowie ohne quartalsmäßige Aufgliederung.
OÖGKK: Unter
Bedarfsprüfungen werden jene Prüfungen verstanden, die ursprünglich nicht
auf dem Prüfplan (Prüfsoll) gestanden sind und durch einen externen Anstoß
,(In-
solvenz, Anzeige, Sonderaufträge, etc.) zur Prüfung gelangten. Im ersten
Halbjahr
2002 waren dies 426 Fälle.
StGKK: Wie
viele Bedarfsprüfungen nach § 42 ASVG im ersten und zweiten Quartal 2002
durchgeführt wurden, kann nicht angegeben werden, da es zu dieser Zeit keine
Unterscheidung zwischen sogenannten normalen Prüfungen und Bedarfsprüfun-
gen gegeben hat. Bekannt gegeben werden kann nur, dass in diesem Zeitraum
auf Veranlassung der Beitragseinbringung 408 Prüfungen durchgeführt wurden
(Insolvenzen, Abschlussprüfungen).
KGKK: Den
Terminus der Bedarfsprüfung gibt es erst seit dem Kalenderjahr 2003 im
Rahmen der gemeinsamen Prüfung aller lohnabhängigen Abgaben. Wie viele Prü-
fungen im angegebenen Zeitraum 2002 von Amts wegen gem. § 42 Abs. 3 ASVG
durchgeführt wurden - da es die Umstände erforderten oder die zur Verfügung
stehenden Unterlagen nicht ausgereicht haben-, kann nicht festgestellt werden.
SGKK:
TGKK: Der
Begriff der Bedarfsprüfung existiert erst seit 1.1.2003. Statistisch wurde in
Jahren davor kein Unterschied zwischen Routineprüfung laut Prüfplan und Prü-
fungen außerhalb der Prüfroutine gemacht. Daher existiert kein Wert.
VGKK: Es
ergeben sich folgende Bedarfsprüfungen:
1. und 2. Quartal 2002: 281 Bedarfsprüfungen
1. und 2. Quartal 2003: 94 Bedarfsprüfungen
VAB: Bedarfsprüfungen
wurden in den nachgefragten Quartalen nicht durchgeführt.
VAE:
Es wurden keine Bedarfsprüfungen durchgeführt.
Zu Frage
15: Wie viele Bedarfsprüfungen nach § 42 ASVG wurden durch
die einzelnen
Sozialversicherungsträger im 1. und 2. Quartal 2003 durchgeführt?
WGKK: Auch
hinsichtlich der Bedarfsprüfungen nach § 42 ASVG im 1. und 2. Quartal
2003 liegen keine Werte vor, da das Tool für die statistische Auswertung nach
GPLA - Kriterien erst ab August in Betrieb genommen wird.
NÖGKK: Im 1. und 2. Quartal
BGKK: Keine
zahlenmäßige Aufteilung nach Bedarfsprüfung möglich, weil nur die Ge-
samtsumme der geprüften Fälle verfügbar ist.
OÖGKK: Keine, da nur
mehr Bedarfsprüfungen nach § 41 a ASVG erfolgt sind. Siehe dazu
auch die Antwort zu Frage 16
StGKK: Bedarfsprüfungen
nach § 42 ASVG wurden im Jahr 2003 keine durchgeführt.
KGKK:
Im ersten Halbjahr 2003 34 Bedarfsprüfungen nach § 42 ASVG durchgeführt.
SGKK:
TGKK:
VGKK: siehe unter Frage 14
VAB: Bedarfsprüfungen wurden in den nachgefragten Quartalen nicht durchgeführt.
VAE: siehe unter Frage 14
Zu Frage 16: Wie viele Bedarfsprüfungen nach § 412 a
ASVG (GPLA-Prüfung) wurden im
1. und 2. Quartal 2003 durchgeführt?
|
Bedarfsprüfungen |
|
|
|
Zahl der Prüfungen |
|
TGKK |
824 |
|
BGKK |
64 |
|
SGKK |
162 |
|
STGKK |
411 |
|
VGKK |
184 |
|
WGKK |
113 |
|
NOGKK |
189 |
|
OOGKK |
291 |
|
KGKK |
20 |
|
VAB |
0 |
|
VAöE |
20 |
|
FINANZ |
1109 |
|
GESAMT |
3387 |
Eine
statistische Auswertung hinsichtlich § 41 a ASVG bzw. § 42 ASVG war nicht
vorgesehen
und ist daher in der Kürze der Zeit nicht möglich.
Zu Frage 17: Entwicklung des Personalstandes in den Prüfungsabteilungen?
WGKK: ebenso
zu Frage 18: In beiden Bereichen ist der Gesamtpersonalstand vor dem
Hintergrund des § 588 Abs. 14 ASVG ab 2001 rückläufig. Zur Hintanhaltung eines
Absinkens der Qualität - und damit indirekt auch des Ertrages der von den
beiden
Bereichen zu setzenden Maßnahmen - wird versucht werden, den Personalstand
zumindest konstant zu halten.
NÖGKK: Ziel ist die
Beibehaltung des derzeitigen Personalstandes. Untermauert wird die-
ses Bestreben dadurch, dass vor allem auf Grund zahlreicher gesetzlicher Neue-
rungen und Änderungen auch in Hinkunft eine intensive, umfangreiche und nach-
haltige Prüfung und Beratung des einzelnen Dienstgebers erforderlich sein wird.
BGKK: Die
„Beitragsprüfung" wird nicht als eigene Abteilung geführt, sondern ist im
Mel-
de-, Versicherungs- und Beitragswesen integriert. Aus heutiger Sicht ist an
keine
Anstockung des Personalstandes gedacht, ein etwaiger Bedarf auf Grund neuer
Anforderungen bzw. Aufgaben ist nicht absehbar.
OÖGKK: Die
Personalentwicklung in diesem Bereich ist von vielen Komponenten abhängig
und kann daher nur schwer vorausgesagt werden. Es ist aber u erwarten, dass
der Personalstand eher unverändert bleibt.
StGKK: Ziel ist die Beibehaltung des derzeitigen Personalstandes.
KGKK: Der
Personalstand in der Beitragsprüfungsabteilung wird sich in den nächsten
zwei Jahren unter der Voraussetzung, dass keine weiteren gesetzlichen Vorgaben
hinzukommen, nicht verändern.
SGKK: Für
die nächsten zwei Jahre ist im Bereich des Personalstandes der Beitragsprü-
fer keine wesentliche Änderung zu erwarten
TGKK: Die
TGKK plant in den nächsten beiden Jahren 25 Beitragsprüfer einzusetzen und
somit den Personalstand zu halten
VGKK: Die
Entwicklung des Personalstandes im Bereich der Beitrags- bzw. Sozialversi-
cherungsprüfung in den nächsten zwei Jahren ist derzeit nicht absehbar, dürfte
je-
doch aller Voraussicht nach leicht rückläufig sein.
VAB: Hinsichtlich
der Aufbauorganisation für Beitragsprüfung und Beitragseinbringung
sind Änderungen nicht geplant.
VAE: Keine
Auskunft bezüglich der Gebietskrankenkassen. Bei der VAE wird sich die
Anzahl der Prüfer voraussichtlich um einen Prüfer erhöhen.
Zu Frage 18: Entwicklung
des Personalstandes in der Beitragseinbringung?
WGKK: siehe Frage 17
NÖGKK: Auf Grund der
bei Frage 7 ersichtlichen Tendenz ist zu befürchten, dass es auch
in den kommenden Jahren zu Personalreduktionen kommen wird.
BGKK: Aus
heutiger Sicht ist an keine Anstockung des Personalstandes gedacht, ein et-
waiger Bedarf auf Grund neuer Anforderungen bzw. Aufgaben ist nicht absehbar.
OÖGKK: Auch hier gilt,
dass Voraussagen nur schwer möglich sind. Da aber eine beträcht-
liche Personalreduktion erfolgt ist, wird an dem derzeitigen Personalstand
fest-
gehalten werden.
StGKK: Bei
etwa gleichbleibendem Aufgabengebiet und technischer Ausstattung wird sich
der Personalstand der Beitragseinbringung in den nächsten zwei Jahren vermut-
lich nicht wesentlich verändern.
KGKK: Der
Personalstand in der Beitragseinbringung wird sich ebenfalls unter der Vor-
aussetzung, dass keine weiteren gesetzlichen Vorgaben hinzu kommen, in den
nächsten zwei Jahren nicht verändern.
SGKK: Für
die nächsten zwei Jahre ist im Bereich des Personalstandes der Beitragsein-
bringung keine wesentliche Änderung zu
erwarten.
TGKK: Zu
der Entwicklung des Personalstandes in der Beitragseinbringung können auf
Grund unbeeinflussbarer Faktoren, wie zum Beispiel Gesetzesänderungen, Wirt-
schaftslage, u.s.w. keine seriösen Prognosen abgegeben werden.
VGKK: Sofern
keine zusätzlichen Aufgaben zukommen, dürfte der Personalstand unver-
ändert bleiben.
VAB: Hinsichtlich
der Aufbauorganisation für Beitragsprüfung und Beitragseinbringung
sind Änderungen nicht geplant.
VAE: siehe Frage 17
Zu Frage 19: Wie sieht der Jahresprüfplan
2003 der einzelnen Sozialversicherungsträger
aus?
Antwort: Der
Jahresprüfplan 2003 richtet sich für beide Organisationen nach dem Prüfplan
der Gebietskrankenkassen. Er beinhaltet alle Dienstgeber, welche in den letzten
36-48 Monaten nicht geprüft wurden. Der Prüfplan wird im Verhältnis der Vollbe-
schäftigungsäquivalente auf Finanz und Sozialversicherung unter Verwendung ei-
nes Zufallsgenerators aufgeteilt.
Zu Frage
20: Wie viele Bedarfsprüfungen sind bei den einzelnen
Sozialversicherungsträ-
gern vorgesehen?
Antwort: In
den gemeinsamen Prüfrichtlinien für die GPLA ist ein Maximalwert von 30%
vorgesehen.
Zu Frage
21: Welche Branchen bzw. Wirtschaftsklassen haben aufgrund
ihrer Analysen
hohe Beitragsrückstände?
WGKK: Eine
betragsmäßige Zuordnung der Außenstände nach Branchen bzw. Wirt-
schaftsklassen ist mangels statistischer Aufzeichnungen nicht möglich. Von
Insol-
venzen unmittelbar betroffen sind allerdings in erster Linie die Baubranche und
das Gastgewerbe.
NÖGKK: Laut Kreditschutzverband
sind hauptsächlich das Bau- und Gastgewerbe sowie
unternehmensbezogene Dienstleister von Insolvenzen betroffen.
BGKK: Die
höchsten Beitragsrückstände weist das Baugewerbe auf, gefolgt vom verar-
beitenden Gewerbe und Handel.
OÖGKK: Darüber werden keine
Analysen und Aufzeichnung geführt. Aus dem Halbjahres-
bericht 2003 des Kreditschutzverbandes ist zu entnehmen, dass in den Branchen
Bauwirtschaft, Maschinen und Metall, Lebens- und Genussmittel, Papier- und Ver-
lagswesen die höchsten Konkursforderungen angemeldet werden.
StGKK: Laut
Angaben des Kreditschutzverbandes gibt es in der Bauwirtschaft die meisten
Insolvenzen, an zweiter Stelle rangieren Unternehmen des Gastgewerbes.
KGKK: Die
KGKK verfügt über keine Statistikmöglichkeit zu diesen Fragen.
SGKK:
Die SGKK verfügt über keine Statistikmöglichkeit zu diesen Fragen.
TGKK: Branchen
bzw. Wirtschaftsklassen mit hohen Beitragsrückständen sind den Statis-
tiken der TGKK zufolge (gelistet nach Wirtschaftsklassen):
1. Sachgütererzeugung
2. Bauwesen
3. Handel
4. Beherbergungs- und Gaststättenwesen
5. Verkehrs- und Nachrichtenübermittlung
VGKK: 1. Bau- und Nebengewerbe
2. Gastbetriebe
3. Textilbetriebe
VAB: Im
Bereich unserer überwiegend berufsständischen Klientel sind allenfalls verein-
zelt temporäre Zahlungsengpässe zu registrieren; diese sind jedoch nicht Bran-
chen - spezifisch.
VAE: Seilbahnbetriebe
haben hohe Beitragsrückstände auf Grund ihrer witterungsbe-
dingten Abhängigkeit.
Zu Frage
22: Sind es Klein- und Mittelbetriebe, die hohe
Beitragsrückstände aufweisen
oder sind es Großbetriebe?
WGKK: Eine
betragsmäßige Zuordnung der Außenstände nach Betriebsgröße ist mangels
statistischer Aufzeichnungen nicht möglich.
NÖGKK: Anzahl der Betriebe in Prozent Anzahl der Mitarbeiter
71,2 1-5
17,4 6-14
9,9 15-99
1,5 über
100
Auf Grund der Tatsache, dass von den ca.
40.000 Betrieben in Niederösterreich
fast 90% kleine und mittlere Unternehmen sind, wird auch der Beitragsrückstand
größtenteils von diesen verursacht.
BGKK: Im
Burgenland gibt es im Vergleich zu anderen Bundesländern nur wenige Groß-
betriebe, von denen wiederum einige erhebliche Beitragsrückstände aufweisen,
den Großteil der Rückstände verursachen zweifelsfrei Klein- und Mittelbetriebe,
entscheidend ist aber nicht nur die Höhe des Rückstandes bei einzelnen Dienst-
gebern, sondern insbesondere aus wie vielen Beitragsmonaten dieser resultiert.
OÖGKK: Hierüber werden keine
Analysen geführt. Eine Aussage kann aber soweit getrof-
fen werden, dass Großbetriebe gegenüber Kleinbetrieben weniger häufig insolvent
werden. Hat allerdings ein Großbetrieb finanzielle Probleme, dann sind damit
na-
turgemäß auch hohe Beitragsrückstände verbunden.
StGKK: Es
ist zu beobachten, dass Großbetriebe im Vorinsolvenzbereich eher nicht zu
den Schuldnern zählen, bei Insolvenzerscheinungen aber durch Beendigungsan-
sprüche hohe Beitragsverbindlichkeiten entstehen. Der überwiegende Anteil an
Beitragsschuldnern betrifft Klein- und Mittelbetriebe und hier vor allem
Einzelun-
ternehmungen, gefolgt von den Gesellschaftsformen GmbH, OEG und KEG. Ein
Summenvergleich der Verbindlichkeiten kann mangels statistischer Erfassung
nicht angeboten werden.
KGKK: Die
KGKK verfügt über keine Statistikmöglichkeit zu diesen Fragen.
SGKK:
Die SGKK verfügt über keine Statistikmöglichkeit zu diesen Fragen.
TGKK: Betriebe
mit Beitragsrückständen gegliedert nach Klein-, Mittel- und Großbetrie-
ben:
1. Kleinbetriebe bis 5 Dienstnehmer € 4,5 Mio
2. Mittelbetriebe 6-50 Dienstnehmer € 10,5 Mio
3. Großbetriebe ab 51 Dienstnehmer € 3,2 Mio
VGKK: Es
sind jedenfalls Klein- und vor allem Mittelbetriebe, die hohe
Beitragsrückstände
aufweisen. Nur bei wenigen Großbetrieben ist ein mehrmonatiger und hoher Bei-
tragsrückstand feststellbar. Ca. 2,5 Mio € Großbetriebe, ca. 4,2 Mio €
Mittelbetrie-
be.
VAB: Im
Bereich unserer überwiegend berufsständischen Klientel sind allenfalls verein-
zelt temporäre Zahlungsengpässe zu registrieren; diese sind jedoch nicht bran-
chenspezifisch.
VAE: Vorwiegend
Kleinbetriebe mit einer Mitarbeiterzahl von unter 50 weisen hohe Bei-
tragsrückstände auf.
Zu Frage 23: In welcher Form erfolgte die
Schulung der Mitarbeiterinnen der Sozialversi-
cherungsträger und der FLD für die lohnabhängigen Prüfungen?
Antwort: Die
Schulungsmaßnahmen wurden in Form von Seminaren, und Workshops um-
gesetzt. Die praktische Schulung wurde in Form einer dreimonatigen Teamprü-
fungsphase (gemischte Teams - ein Finanz-, ein Sozialversicherungsprüfer) ab-
gewickelt.
Zu Frage 24: Mit welchen Kosten waren diese Schulungen verbunden?
Antwort: Die
Kosten belaufen sich für 2002 auf € 34.899,25. Für 2003 (Stichtag 24.6.2003)
belaufen sich die Kosten auf € 9.310.