641/AB XXII. GP
Eingelangt am 03.09.2003
Dieser Text ist elektronisch textinterpretiert. Abweichungen vom Original sind
möglich.
BM für
Land- und Forstwirtschaft, Umwelt und Wasserwirtschaft
Anfragebeantwortung
Auf die schriftliche Anfrage der Abgeordneten Dr. Gabriela
Moser, Kolleginnen und Kollegen
vom 10. Juli 2003, Nr. 689/J, betreffend Umsetzung Natura 2000, beehre ich mich
Folgendes
mitzuteilen:
Einleitend ist anzumerken, dass die
Umsetzung der beiden EU-Naturschutz-Richtlinien, der
RL 92/43/EG und der RL 79/409/EWG, und die mit diesen verbundene Einrichtung
des Natu-
ra 2000-Gebietsnetzwerkes gemäß Art 15 B-VG in Gesetzgebung und Vollzug in der
Kom-
petenz der Länder liegt. Aufgrund dieser Vorgabe ist auch die Einrichtung des
Natura 2000-
Netzwerkes den Ländern vorbehalten. Dem Bundesministerium für Land- und
Forstwirt-
schaft, Umwelt und Wasserwirtschaft (BMLFUW) liegen nur die von den
Bundesländern
übermittelten Informationen vor.
Zu den Fragen 1 und 5:
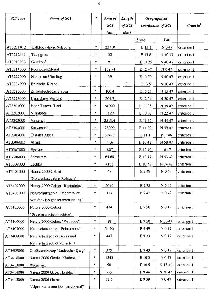
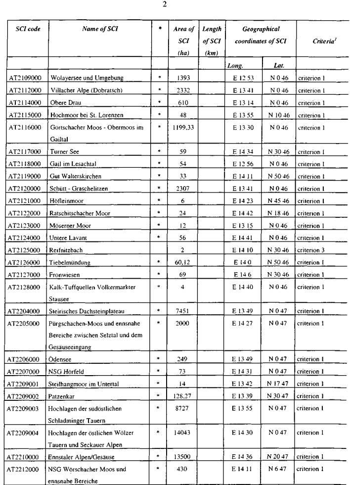
Dem BMLFUW liegt ein Schreiben der
Verbindungsstelle der Bundesländer vom 4. Novem-
ber 2002, die aktuelle österreichische Gebietsliste betreffend, vor (Beilage
1). Demnach wur-
den gemäss RL 79/409 und 92/43 insgesamt 210 Gebiete nominiert. Die einzelnen
Bundes-
länder sind durch den Gebietscode identifizierbar:
AT11 für Burgenland, AT12 Niederösterreich, AT13 Wien, AT21 Kärnten, AT22 Steiermark,
AT31 Oberösterreich, AT 32 Salzburg, AT33 Tirol und AT34 für Vorarlberg.
Detailliertere Daten liegen dem
Bundesministerium für Land- und Forstwirtschaft, Umwelt
und Wasserwirtschaft nicht vor.
Zu Frage 2:
Für die kontinentale Region kann Österreich noch bis zum
September 2003 Gebiete nach-
nominieren. Für die alpine Region sind keine Fristen für Nachnominierungen
bekannt.
Zu den Fragen 3 und 4:
Die Habitate und Arten der alpinen Region,
für die Österreich noch nicht genügend Gebiete
ausgewiesen hat, wurden von der Europäischen Kommission übermittelt (siehe
Beilagen 2
und 3). Darüber hinaus sind dem BMLFUW keine konkreten Forderungen bekannt.
Zu Frage 6:
Die Naturschutzbudgets der einzelnen Bundesländer sind dem BMLFUW nicht bekannt.
Zu Frage 7:
Die Pläne zur Nachnominierung in einzelnen Bundesländern
sind dem BMLFUW nicht be-
kannt.
Zu Frage 8:
Die Beurteilung der Vollständigkeit der
Gebietsmeldungen obliegt nicht dem BMLFUW, son-
dern der Europäischen Kommission. Die Habitate und Arten der alpinen Region,
für die
Österreich noch nicht genügend Gebiete ausgewiesen hat, wurden von der
Europäischen
Kommission übermittelt (siehe Beilagen 2 und 3).
Zu den Fragen 9 und 10:
Diesbezügliche Unterlagen liegen dem BMLFUW nicht vor.
Beilagen 1 - 3
|
|
|
|
|
|
|
|
|
|
|
|
|
|
|
|
|
|
|
|
|
|
|
|
|
|
|
|
|
|
|
|
|
|
|
|
|
|
|
|
|
|
|
|
|
|
|
|
|
|
|
|
|
|
|
|
|
|
|
|
|
|
|
|
|
|
|
|
|
|
|
|
|
|
|
|