4982/J XXIII. GP
Eingelangt am 15.09.2008
Dieser Text wurde elektronisch übermittelt. Abweichungen vom Original sind
möglich.
ANFRAGE
des Abgeordneten Rossmann, Freundinnen und Freunde
an den Bundesminister für Verkehr, Innovation und Technologie
betreffend Vorbelastungen in Höhe von 7,1 Mrd. Euro für die ÖBB
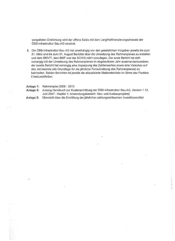
Wie der Finanzvorstand der ÖBB, Mag. Erich Söllinger, im RH-Ausschuss am 20.05.2008 anlässlich des Berichtes des Rechnungshofes 2007/15 (III-100 d.B.) berichtete, gibt es eine Vereinbarung vom März 2008 zwischen dem Bundesminister für Verkehr, Innovation und Technologie, Werner Faymann, dem Bundesminister für Finanzen, Wilhelm Molterer, der ÖBB Holding AG, vertreten durch Martin Huber und Erich Söllinger und der ÖBB Infrastruktur Bau AG, vertreten durch Georg-Michael Vavrovsky und Gilbert Trattner (siehe Beilage). Darin verpflichtet sich der Bund 70% der jährlichen Investitionsausgaben der ÖBB Infrastruktur Bau AG, die bis 2013 eingegangen werden, über einen Zeitraum von 30 Jahren zu finanzieren.
Wie aus dieser Vereinbarung hervorgeht, steigen die durch diese Investitionen bedingten Schulden der ÖBB Infrastruktur zwischen 2008 und 2013 von 9,6 Mrd. Euro auf 16,7 Mrd. Euro bzw. um 7,1 Mrd. Euro.
Aus ökonomischer Sicht handelt es sich bei dieser Vereinbarung eindeutig um eine Verpflichtung des Bundes, die Schulden der ÖBB Infrastruktur (inkl. Zinsen) zurückzuzahlen. Aus bilanztechnischer Sicht handelt es sich um einen essentiellen Vertrag. Ohne diesen Vertrag könnte die Bilanz der ÖBB nicht erstellt werden, wie auch im Geschäftsbericht der ÖBB bestätigt wird. Aus haushaltsrechtlicher Sicht ist die Frage zu stellen, ob es sich um eingegangene Vorbelastungen handelt, für die gemäß §45 BHG eine Bewilligung des NR erforderlich ist. Im BGBl I 106(2007) wurde die Ermächtigung für die Vorbelastung nur in Höhe von 1,9 Mrd. Euro erteilt, nicht jedoch für die notwendigen 7,1 Mrd. Euro.
Nach Meinung der Anfragesteller ist eine Genehmigung für den gesamten Betrag von 7,1 Mrd. Euro erforderlich, die 1,9 Mrd. Euro sind unzureichend.
Die unterfertigten Abgeordneten stellen daher folgende
ANFRAGE:


