600/J XXIII. GP
Eingelangt am 30.03.2007
Dieser Text ist elektronisch textinterpretiert. Abweichungen vom Original sind
möglich.
Anfrage
der
Abgeordneten Edeltraud Lentsch, Maria Rauch-Kallat
Kolleginnen
und Kollegen
an die Frau Bundesminister für Justiz
betreffend: Bestellung des Leiters der Justizanstalt Eisenstadt
Nach dem überraschenden Tod des erst im Vorjahr
bestellten Leiters der
Justizanstalt
Eisenstadt, Franz Windisch, leitete dessen Stellvertreter, Günter Wolf,
interimistisch die Haftanstalt. Auf die Ausschreibung zur Besetzung des Leiters
oder
der Leiterin der Justizanstalt Eisenstadt
hinaus haben sich sieben Personen
beworben.
Eine Beurteilungskommission hatte die stellvertretende Leiterin der
Justizanstalt
Wels,
Theresa Heigert als am besten qualifiziert für die Leitung
der Justizanstalt
Eisenstadt ausgewählt. Diese Entscheidung wurde aber von der
Justizministerin zu
Gunsten eines
schlechter gereihten Mannes, des bisherigen interimistischen Leiters
der Justizanstalt, ignoriert.
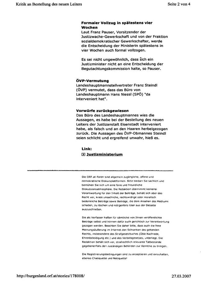
Diese Entscheidung sorgte in der Öffentlichkeit für Aufregung,
wie auch den
angeschlossenen
Berichten (ORF vom 12.03.2007 und Kurier vom 13.03.2007) zu
entnehmen ist.
Die unterzeichneten Abgeordneten stellen daher an die
Frau Bundesministerin für
Justiz
folgende
ANFRAGE:
1.
Welche
Kriterien waren bei der Bestellung des
Leiters der Justizanstalt
Eisenstadt maßgeblich/entscheidend?
2.
Mit welcher Begründung wurde der interimistische Leiter der
Justizanstalt der
besser qualifizierten
Bewerberin vorgezogen?
3.
Wie
beurteilen Sie
diese Vorgangsweise
im Lichte des
Gleichbehandlungsgesetzes?
4.
Welche Rolle spielen für Sie als Justizministerin Gender
Mainstreaming und
die Chancengleichheit
von Frauen und Männern?
5.
Welche
Maßnahmen im
Bereich des Gender
Mainstreaming und der
Chancengleichheit von Frauen
und Männern werden Ihrerseits in Ihrem
Ressort in dieser
Legislaturperiode gesetzt werden?
6.
Hat es in dieser Frage im Vorfeld Ihrer Entscheidung mit Landeshauptmann
Niessl bzw. dessen Büro Kontakt gegeben. Wenn ja, was war der
Inhalt dieser
Gespräche?
7.
Hat Landesrätin Dunst in dieser Angelegenheit mit Ihnen
gesprochen. Wenn
ja, was war der Inhalt
dieser Gespräche?
![]() |

