7186/AB XXIV. GP
Eingelangt am 22.02.2011
Dieser Text ist elektronisch textinterpretiert. Abweichungen vom Original sind
möglich.
BM für europäische und internationale Angelegenheiten
Anfragebeantwortung
Die Abgeordneten zum Nationalrat Rupert
Doppler, Kolleginnen und Kollegen haben am
22. Dezember 2010 unter der Zl.
7270/J-NR/2010 an mich eine schriftliche parlamentarische
Anfrage betreffend „Dienstreisen“ gerichtet.
Diese Anfrage beantworte ich wie folgt:
Zu den Fragen 1 und 7 bis 10:
Die im Zeitraum
zwischen 1. Jänner
und 22. Dezember 2010 von mir durchgeführten
Inlandsdienstreisen, deren Zweck, Dauer, die Anzahl der begleitenden Mitglieder
meines
Büros, von Beamten/innen des Bundesministeriums für europäische
und internationale
Angelegenheiten (BMeiA) sowie die dadurch
entstandenen Kosten sind in der Beilage A und
der nachstehenden Tabelle angeführt.
|
ZEITRAUM |
1.1. bis 22.12.2010 |
|
ad 1a) Bundesminister |
2.357,99 EUR |
|
ad lb+c) Begleitung |
9.060,04 EUR |
Zu
den Fragen der Benützung des Verkehrsmittels wird auf die Angaben
in Beilage A
verwiesen.
Zu Frage 2:
Die im Zeitraum
zwischen 1. Jänner
und 22. Dezember 2010 von mir durchgeführten
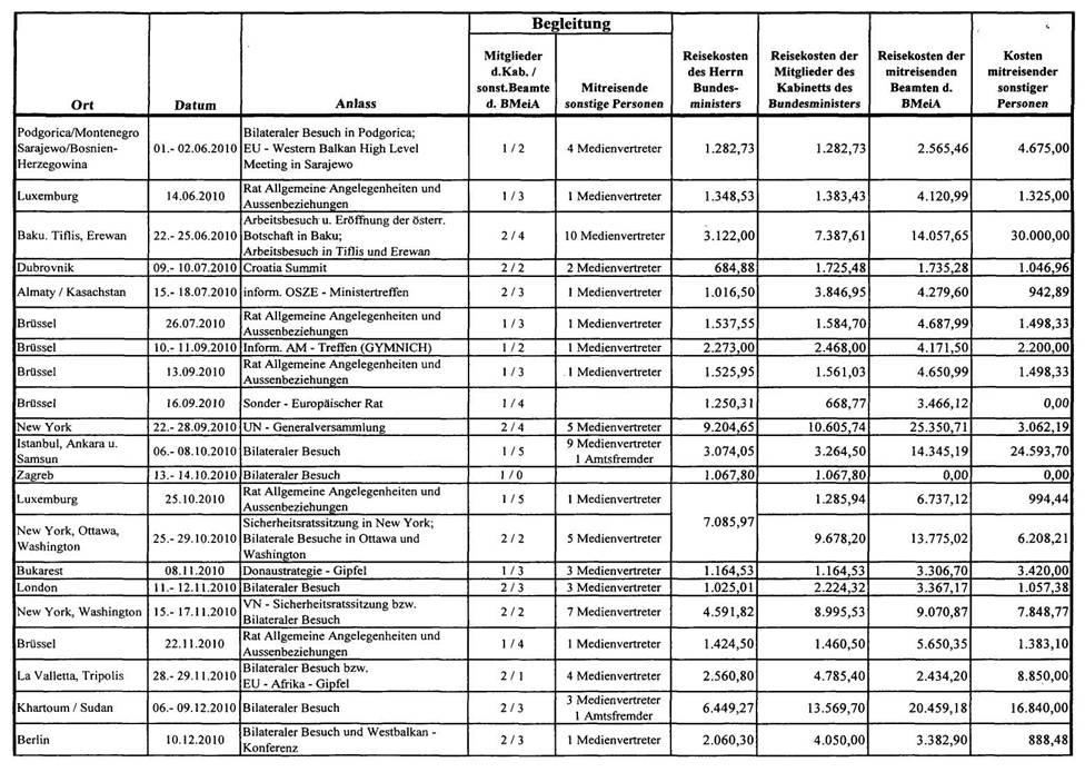
Auslandsdienstreisen, deren Zweck, Dauer, die Anzahl der begleitenden
Mitglieder meines
Büros, von Beamten/innen meines Ressorts und von amtsfremden Personen
sowie die
dadurch entstandenen Kosten sind in der
Beilage B und der nachstehenden Tabelle angeführt.
|
ZEITRAUM |
1.1. bis 22.12.2010 |
|
ad 2a) Bundesminister |
98.010,82 EUR |
|
ad 2b+c) Begleitung |
637.222,08 EUR |
Zu den Fragen 3 und 4:
Ich plane in meiner
Funktion als Außenminister
u.a. die Teilnahme an Europa -
Dialogveranstaltungen in Österreich, Ratstagungen und anderen Treffen der
Europäischen
Union, die Teilnahme an Veranstaltungen im
Rahmen der multilateralen Außenpolitik sowie
bilaterale Besuche und Konferenzteilnahmen im Zusammenhang mit den
außen-, europa-,
sicherheits- und entwicklungspolitischen Zielen der österreichischen
Außenpolitik.
Die konkreten Kosten
stehen zum derzeitigen Zeitpunkt noch nicht fest, da die Planungen
noch nicht abgeschlossen sind.
Zu den Fragen 5 und 6:
Die Anzahl der
Mitarbeiterinnen und Mitarbeiter des BMeiA sowie die durchschnittlichen
Kosten
pro Mitarbeiter und Tag für die im angefragten Zeitraum
absolvierten Inlands- und
Auslandsdienstreisen
können der nachstehenden Aufstellung entnommen werden.
|
Zeitraum 1.1. bis 22.12.2010 |
Inlandsdienstreisen |
Auslandsdienstreisen |
|
Anzahl der MitarbeiterInnen |
94 |
272 |
|
durchschnittliche Kosten pro Mitarbeiter/in |
93,38 EUR |
338,59 EUR |
Ich ersuche um Verständnis,
dass eine detailliertere Aufschlüsselung beträchtliche
Personalressourcen des BMeiA binden würde.



