14624/J XXVII. GP
Eingelangt am 27.03.2023
Dieser Text ist elektronisch textinterpretiert. Abweichungen vom Original sind
möglich.
Anfrage
der Abgeordneten Elisabeth Götze, Hermann Weratschnig, Freundinnen und Freunde
an den Bundesminister für Arbeit und Wirtschaft
betreffend Flughafen Wien AG – Erwerb von Beteiligungen durch einen karibischen Investor
Bezug wird genommen auf die Anfrage 13176/J XXVII. GP, eingelangt am 01.12.2022, und die dazu ergangene Anfragebeantwortung 12824/AB vom 01.02.2023.
In der Anfrage 13176/J XXVII. GP haben wir dargelegt, dass es sich bei dem Investor, dem IFM Global Infrastructure Fund, um einen intransparenten Trust auf den Cayman Islands handelt und nicht – wie jahrelang suggeriert – um einen australischen Pensionsfonds. Zu diesem Zeitpunkt hielt der karibische Trust über zwei luxemburger Holdinggesellschaften bereits eine Beteiligung von mehr als 40% an der Flughafen Wien AG. Wir haben unsere Ausführungen mit den entsprechenden Dokumenten untermauert.
Obwohl schon vor unserer Anfrage die Struktur des Investors im Bundesministerium für Arbeit und Wirtschaft bekannt sein musste – die Landessprecherin der Grünen Niederösterreich, Landtagsabgeordnete Helga Krismer, hatte Ihnen das uns damals vorliegende Informationspaket bereits zu einem wesentlich früheren Zeitpunkt per Einschreiben zukommen lassen – haben Sie dem karibischen Investor gemäß Investitionskontrollgesetz (InvKG) gestattet, seine Beteiligung von über 40% um weitere fast 10% bis zu 50% minus 1 Aktie des Aktienkapitals der Flughafen Wien AG aufzustocken.
Anlässlich der Präsentation des Ergebnisses des Verfahrens nach dem InvKG wurden Sie in der Presseaussendung Ihres Ministeriums vom 24. Jänner 2023 zitiert wie folgt [Hervorhebungen durch die Autor:innen]:
„Ausländische Investitionen in österreichische Unternehmen sind grundsätzlich zu begrüßen, da sie Investitionskapital bringen, das für die Weiterentwicklung des österreichischen Wirtschaftsstandorts wichtig ist. Bei Drittstaats-Investitionen in bestimmten besonders sensiblen Bereichen, die gewisse Schwellenwerte übersteigen, gibt es eine Prüfung im Rahmen des Investitionskontrollverfahrens. Dabei wird festgestellt, ob die Sicherheit und öffentliche Ordnung Österreichs gewahrt bleiben. Ein solches Verfahren wurde auch im Fall der aktuellen Investition in den Flughafen Wien-Schwechat unter Anwendung sämtlicher Prüfkriterien durchgeführt und nun abgeschlossen.“
Weiters in derselben Presseaussendung:
„Im Ergebnis konnte durch strenge Auflagen sichergestellt werden, dass die ausländische Antragstellerin durch ihre Investition auch auf sonstige Weise keinen beherrschenden Einfluss auf den Flughafen Wien-Schwechat erlangt: Zusätzlich zu den beiden bestehenden dürfen keine weiteren Aufsichtsratsmitglieder von der Antragstellerin nominiert werden, sie darf keine Satzungsänderungen vorschlagen und ihr werden gewisse Berichtspflichten auferlegt. Im Zuge des Verfahrens hat die Antragstellerin die Eigentümerstruktur offengelegt. Es liegen keine Gründe vor, die für eine Untersagung der Investition sprechen würden. Die Investition wird daher von der Investitionskontrollbehörde nicht untersagt.“
Zwischenzeitig haben wir weitere Informationen erhalten und führen ergänzend zu der ersten Anfrage aus:
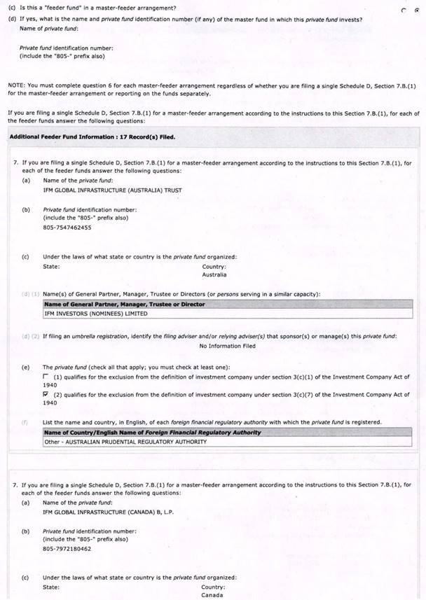
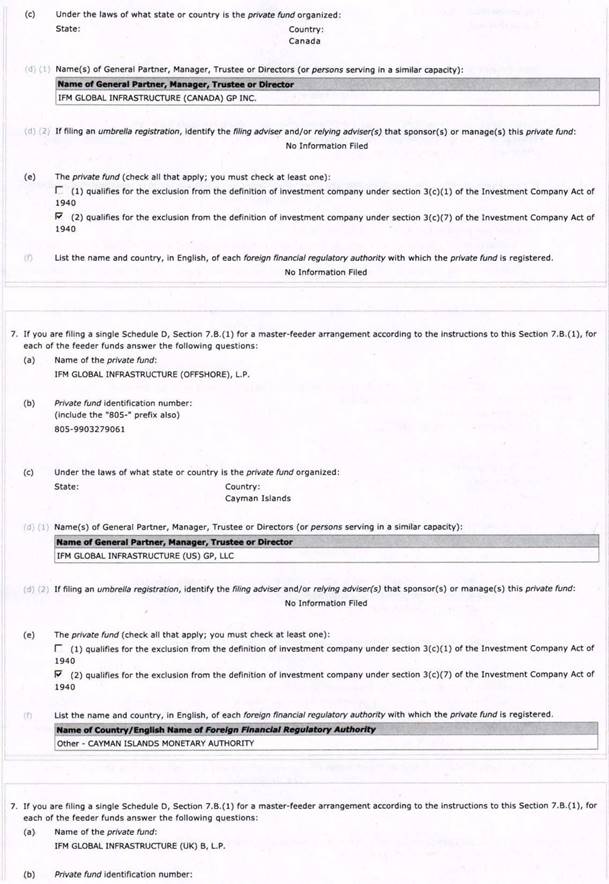
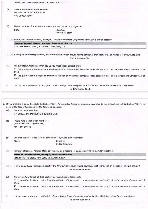
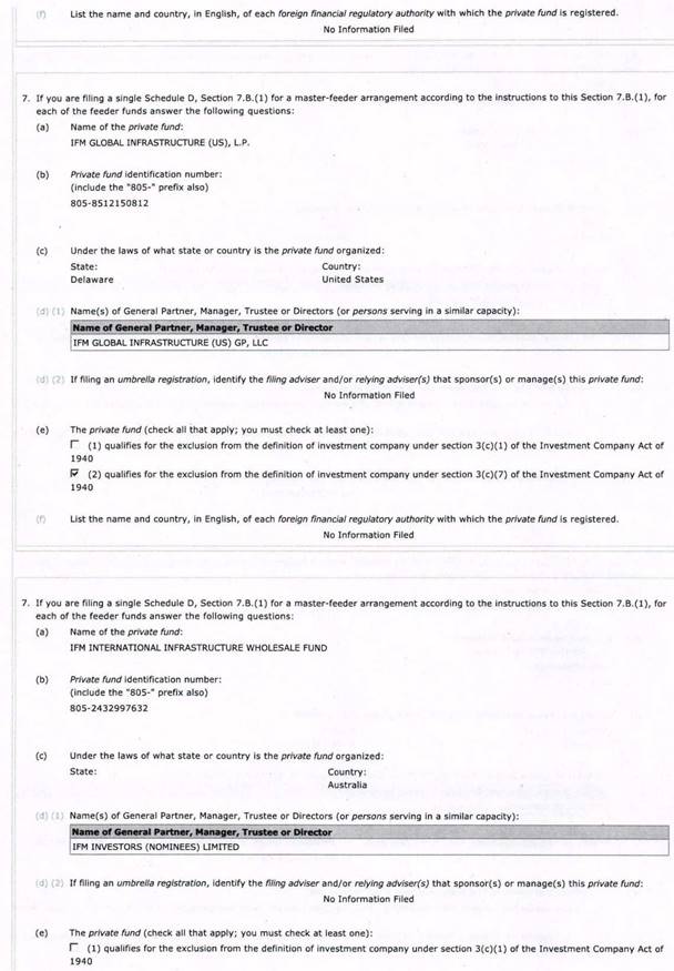
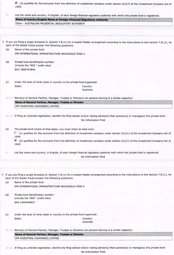
Jener „Berater“, die australische Firma IFM Investors Pty Limited, die den karibischen Investor in Österreich vermarktet und dabei den Eindruck entstehen lässt, es handle sich um Investitionen eines oder mehrerer australischer Pensionsfonds, – wir sind bereits in unserer ersten Anfrage auf ihn eingegangen – , hat sich in den USA bei der dortigen "Securities and Exchange Commission" (SEC) als „Investment Advisor“, also Investitionsberater, eintragen lassen. Im Zuge dessen musste er ein umfangreiches „ADV-Form“ ausfüllen und darin offenlegen, woher die Gelder in den IFM Global Infrastructure Fund, dem Großaktionär der Flughafen Wien AG, fließen. IFM Investors Pty Limited gab in diesem SEC-Dokument an, dass es sich beim IFM Global Infrastructure Fund um einen „Master Fund“, also eine Hauptsammelstelle für Geld handelt, an der 17 sogenannte "Feeder Funds" ("Fütterungsfonds") beteiligt sind, die ihre Gelder an den Hauptfonds weiterleiten.
Die Fütterungsfonds haben ihre Sitze laut dieser SEC-Unterlage in Australien, Kanada, Großbritannien und den USA, einer hat seinen Sitz auf den Cayman Islands. Dieser ist eine Geldsammelstelle in der Rechtsform „Limited Partnership“ namens „IFM Global Infrastructure (Offshore), L.P“ mit Sitz an derselben Adresse wie der Großinvestor am Flughafen Wien, der IFM Global Infrastructure Fund, nämlich bei dessen Treuhänder. Die beiden teilen sich sogar denselben Briefkasten mit der Nummer 2681 am Cricket Square, Hutchins Drive in George Town, Grand Cayman, bei der Treuhandfirma Conyers Trust Company (Cayman) Limited.
Beim Großaktionär am Flughafen Wien handelt es sich also um eine riesige Kaskade an Eigentümern und Geldflüssen, die bei einem professionellen Treuhänder auf den Cayman Islands zusammenlaufen.
Vorgelegt wird als Beilage ./1 ein Auszug aus dem ADV-Form der SEC (S. 1 sowie 46-61) mit den Angaben zu IFM Investors Pty Limited und zum IFM Global Infrastructure Fund als Master Fund samt seinen 17 Feeder Funds, weiters als Beilage ./2 der „Suchbericht“ aus dem Firmenregister der Cayman Islands zum Feeder Fund IFM Global Infrastructure (Offshore), L.P. Der „Suchbericht“ zum IFM Global Infrastructure Fund, dem Hauptfonds und Großaktionär am Flughafen Wien, wurde bereits bei der ersten Anfrage vorgelegt und wird hier der Einfachheit halber nochmals als Beilage .3/ angeschlossen.
In den „Suchberichten“ aus dem Firmenregister der Cayman Islands heißt es sowohl beim Master Fund als auch beim Feeder Fund wortgleich (Beilagen ./2 und ./3):
“- INFORMATION REGARDING THE CORPORATE RECORDS AND REGISTERS ARE NOT AVAILABLE FOR PUBLIC INSPECTION
- THIS REPORT DOES NOT CONFIRM THE ENTITY IS IN GOOD STANDING”
[Informationen zu den Unternehmensunterlagen und Registern stehen nicht zur öffentlichen Einsichtnahme zur Verfügung. Dieser Bericht stellt keinen Existenznachweis des Rechtsträgers dar.]
Schließlich verweisen wir darauf, dass der „Berater“ des Großaktionärs am Flughafen Wien, IFM Investors Pty Limited, nicht in der Lage ist, eine unmissverständliche Aussage darüber zu machen, ob auch russische Gelder veranlagt werden. Im „Guardian“-Artikel vom 2. März 2022 über die russischen Verbindungen australischer „Superfonds“ heißt es (Beilage ./4):
“Meanwhile, IFM Investors, a group through which industry super funds make investments into things such as airports, toll roads and the like, said it had “no direct investors nor investments that are included on relevant global sanctions lists”.”
[IFM Investors, eine Gruppe, über die Industrie-Superfonds in Dinge wie Flughäfen, Mautstraßen und ähnliches investieren, sagte, sie hätten "keine direkten Investoren oder Investitionen, die auf einschlägigen globalen Sanktionslisten angeführt sind".]
Es reicht schon, beispielsweise, den Feeder Fund des Investors auf den Cayman Islands dazwischen zu schieben und schon ist das Investment nicht mehr „direct“.
Das völlig intransparente Geldsammelverfahren über die beschriebene Kaskade, das nichts mit den EU-Richtlinien für Investmentfonds gemeinsam hat, und insbesondere über die Cayman Islands, die wohl nicht zufällig von der EU-Kommission als Geldwäschehochrisikoland eingestuft werden, öffnet der Umgehung der EU-Sanktionsvorschriften Tür und Tor.
Die Vermögenswerte, die dem „Berater“ IFM Investors Pty Ltd zur Verfügung stehen, wachsen besorgniserregend schnell an. Hieß es im Übernahmeangebot 2014 es seien 35 Milliarden Euro, so waren es im Übernahmeangebot 2016 bereits 45,1 Milliarden Euro. Im Übernahmeangebot 2022 wurde der Betrag mit 122 Milliarden Euro angegeben.
Die unterfertigten Abgeordneten stellen daher folgende
1. Zu der oben angeführten Aussage, dass ausländische Investitionen in österreichische Unternehmen zu begrüßen seien, da sie Investitionskapital bringen, das für die Weiterentwicklung des österreichischen Wirtschaftsstandorts wichtig ist:
1.1. Welche Weiterentwicklung ist hier im konkreten Fall angesprochen?
1.2. Angesichts dessen, dass beim Kauf eines Aktienpaketes an der Börse – wie im gegenständlichen Fall – das investierte Geld an die Verkäufer und nicht an die Aktiengesellschaft fließt, wird angefragt, in welcher Form das Investitionskapital für die Weiterentwicklung vom Investor IFM Global Infrastructure Fund (über die an der Flughafen Wien AG beteiligte Airports Group Europe s.à r.l.) kommt, gekommen ist oder kommen soll?
2. Zu der oben angeführten Aussage, dass im Zuge des Verfahrens die Antragstellerin die Eigentümerstruktur offengelegt habe und kein Grund bestehe, die Investition zu untersagen:
2.1. Wer sind nun die Eigentümer des Investors und zwar im Sinne der letztlich wirtschaftlich Berechtigten?
2.2. Wer ist an dem Feeder Funds IFM Global Infrastructure (Offshore), L.P. auf den Cayman Islands beteiligt und somit Eigentümer und wirtschaftlich Berechtigter dieses Unternehmens und in weiterer Folge des am Flughafen Wien investierten IFM Global Infrastructure Fund?
2.3. Können Sie mit Sicherheit die Möglichkeit ausschließen, dass Teile des in die Aktien der Flughafen Wien AG investierten und noch zu investierenden Geldes aus russischen Quellen stammen?
2.4. Können Sie mit Sicherheit die Möglichkeit ausschließen, dass Teile der von der Flughafen Wien AG ausgeschütteten Dividenden russischen Investoren und somit allenfalls sogar der Kriegsfinanzierung zugutekommen?
2.5. Welche konkreten Personen sind die Entscheidungsträger in der Struktur? IFM Investors Pty Limited sind ja nur Berater. Anders gefragt: Wer sind die Hintermänner (-und frauen), in deren Auftrag der Berater IFM Investors Pty Limited tätig ist? Können Sie die Personen namentlich nennen?
3. Wenn die in den vorangegangenen Punkten gestellten Fragen nicht klar, vollständig und im Sinne eines Risikoausschlusses beantwortet werden können, stellt sich die abschließende Frage zu der oben angeführten Aussage in der Presseaussendung, im Verfahren nach dem Investitionskontrollgesetz würde festgestellt werden, ob die Sicherheit und öffentliche Ordnung Österreichs gewahrt bleiben:
Wie können Sie gewährleisten, dass die Sicherheit und öffentliche Ordnung gewahrt bleiben, insbesondere, dass eine Unterwanderung der EU-Sanktionen als Maßnahme gegen den Angriffskrieg gegen die Ukraine verlässlich ausgeschlossen werden kann, wenn Sie nicht mit Sicherheit sagen können, wer diesen karibischen Fonds nun wirklich kontrolliert und wessen Gelder von ihm am Flughafen Wien investiert werden?
Es wird ersucht, die Fragen einzeln zu beantworten.
Beilagenliste:
Beilage ./1: Auszug aus dem von IFM Investors Pty Limited ausgefüllten ADV-Form der SEC (S. 1 sowie 46-61)
Beilage ./2: Search Report (Suchbericht) vom 03.02.2023 aus dem Firmenregister der Cayman Islands zum Feeder Fund IFM Global Infrastructure (Offshore), L.P.
Beilage ./3: Search Report (Suchbericht) vom 11.10.2022 aus dem Firmenregister der Cayman Islands zum IFM Global Infrastructure Fund (Cayman Islands)
Beilage ./4: „Guardian“ vom 02.03.2022 mit dem Titel “AustralianSuper’s $300m of Russian investments plunge as sanctions bite”






















