Anlage
Abänderungen
zum Entwurf des Bundesgesetzes über die Bewilligung des Bundesvoranschlages für das Jahr 2025 (Bundesfinanzgesetz 2025 – BFG 2025) samt Anlagen in 67 der Beilagen
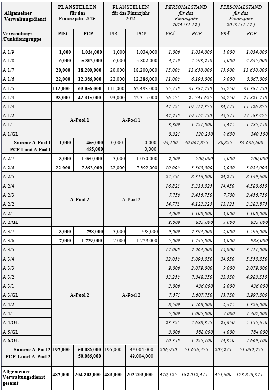
1. Das im Personalplan 2025 (Anlage IV) enthaltene Planstellenverzeichnis für Bundesbedienstete in der Bundesverwaltung (Planstellenverzeichnis 1a) erhält für die Untergliederung 02 Bundesgesetzgebung nachstehende Fassung:
„P E R S O N A L P L A N 2 0 2 5
Planstellenverzeichnis für Bundesbedienstete in
der Bundesverwaltung
(Planstellenverzeichnis 1a)
Übersicht Parlamentsdirektion

Untergliederung 02 Bundesgesetzgebung
(Gesamtübersicht)

*) In den ausgewiesenen PCP sämtlicher Besoldungsgruppen-Bereiche und den dazugehörigen Summen sind die PCP aller Nicht-Pool-Planstellen sowie alle PCP‑Limits der einzelnen Pools enthalten.
Von den Planstellen für das Finanzjahr 2025 dürfen 499 mit Beamtinnen und Beamten besetzt sein (§ 44 Abs. 4 Z 3 BHG 2013).
P E R S O N A L P L A N 2 0 2 5
Planstellenverzeichnis für Bundesbedienstete in
der Bundesverwaltung
(Planstellenverzeichnis 1a)
Untergliederung 02 Bundesgesetzgebung (Fortsetzung)

*) In den ausgewiesenen PCP-Gesamtsummen
(Planstellen-Spalten) sind die PCP aller Nicht-Pool-Planstellen sowie
sämtliche PCP-Limits enthalten.
P E R S O N A L P L A N 2 0 2 5
Planstellenverzeichnis für Bundesbedienstete in
der Bundesverwaltung
(Planstellenverzeichnis 1a)
Untergliederung 02 Bundesgesetzgebung (Fortsetzung)

*) In den ausgewiesenen PCP-Gesamtsummen (Planstellen-Spalten) sind die PCP aller Nicht-Pool- Planstellen sowie sämtliche PCP-Limits enthalten.“
2. Die Änderungen im Personalplan (Anlage IV) sind auch in der Gesamtübersicht (Anlage IV, Seite 684) sowie bei den Übersichten zum Personalplan zu berücksichtigen.
3. In dem an die Gesamtübersicht anschließenden Satz (Anlage IV, Seite 685) wird die Zahl „74.230“ durch die Zahl „74.234“ ersetzt.