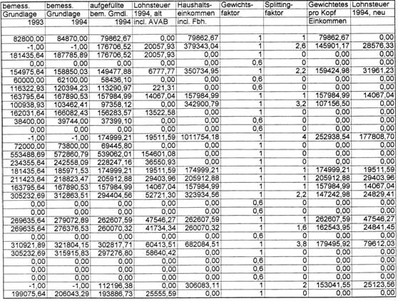
Tabelle 3: Beispiel für die Bearbeitung der Mikrozensusdaten

Tabelle 4: Kosten des Familiensplittings für Österreich, Modell ÖSTAT Standardvariante

Verwendete Gewichtsfaktoren: erste erwachsene Person: 1,00
jede weitere erwachsene Person: 0,70
jedes Kind je nach Alter: 0 3 J.: 0,33
4 - 6 J.: 0,38
7 - 10 J.: 0,55
11 - 15 J.: 0,65
16 - 18 J.: 0,70
19 - 21 J.: 0,80
HomeSeite 1Vorherige SeiteNächste Seite