*****
Präsidentin Mag.a Claudia Arpa: Einen schönen Nachmittag! Ich bedanke mich im Voraus für ein wertschätzendes Miteinander, da ich heute das erste Mal die Vorsitzführung innehaben darf, und eröffne die 956. Sitzung des Bundesrates.
Die nicht verlesenen Teile des Amtlichen Protokolls der 955. Sitzung des Bundesrates vom 29. Juni 2023 sind aufgelegen und wurden nicht beanstandet.
Als verhindert gemeldet sind die Mitglieder des Bundesrates Dipl.-Ing. Dr. Adi Gross, Barbara Prügl und Andrea Michaela Schartel.
Ich begrüße an dieser Stelle die Bundesministerin für Frauen, Familie, Integration und Medien MMag.a Dr.in Susanne Raab – herzlich willkommen! (Beifall bei ÖVP, SPÖ und Grünen sowie des Bundesrates Arlamovsky.)
Einlauf und Zuweisungen
Präsidentin Mag.a Claudia Arpa: Hinsichtlich der eingelangten und verteilten Anfragebeantwortung,
der Schreiben des Ministerratsdienstes des Bundeskanzleramtes betreffend den Aufenthalt von Mitgliedern der Bundesregierung in einem anderen Mitgliedstaat der Europäischen Union und
der Unterrichtung des Bundeskanzlers gemäß Art. 23c Abs. 5 Bundes-Verfassungsgesetz
verweise ich auf die im Sitzungssaal verteilte Mitteilung der 956. und 957. Sitzung des Bundesrates gemäß § 41 Abs. 1 der Geschäftsordnung des Bundesrates, die dem Stenographischen Protokoll dieser Sitzung angeschlossen wird.
Ebenso verweise ich hinsichtlich der eingelangten Verhandlungsgegenstände und deren Zuweisungen im Sinne des § 19 Abs. 1 der Geschäftsordnung auf die gemäß § 41 Abs. 1 der Geschäftsordnung im Sitzungssaal verteilte Mitteilung der 956. und 957. Sitzung des Bundesrates, die dem Stenographischen Protokoll dieser Sitzung angeschlossen wird.
Die schriftliche Mitteilung hat folgenden Wortlaut:
A. Eingelangt sind:
1. Anfragebeantwortung
(Anlage 1) (siehe auch S. 17)
2. Aufenthalt eines Mitgliedes der Bundesregierung in einem anderen Mitgliedsstaat der Europäischen Union
Schreiben des Ministerratsdienstes betreffend den Aufenthalt von Frau Bundesministerin für Landesverteidigung Mag. Klaudia Tanner von 12. bis 22. Juli 2023 in einem anderen Mitgliedstaat der Europäischen Union (Anlage 2)
Schreiben des Ministerratsdienstes betreffend den Aufenthalt von Frau Bundesministerin für Klimaschutz, Umwelt, Energie, Mobilität, Innovation und Technologie Leonore Gewessler, BA, von 9. (abends) bis 12. Juli 2023 in Spanien (Anlage 3)
Schreiben des Ministerratsdienstes betreffend den Aufenthalt von Herrn Bundesminister für Finanzen Dr. Magnus Brunner, LL.M. am 13. und 14. Juli 2023 in Belgien (Anlage 4)
Schreiben des Ministerratsdienstes betreffend den Aufenthalt von Herrn Bundesminister für Soziales, Gesundheit, Pflege und Konsumentenschutz Johannes Rauch am 13. und 14. Juli 2023 in Spanien (Anlage 5)
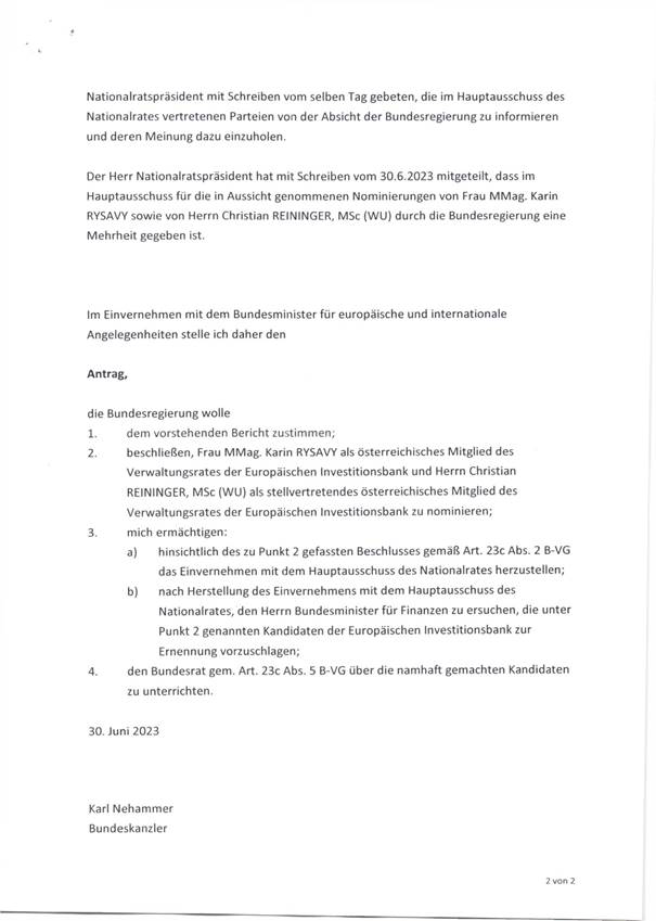
3. Unterrichtung des Bundeskanzlers gemäß Art. 23c Abs. 5 B-VG
Nominierung von MMag. Karin Rysavy zum ordentlichen Mitglied und Herrn Christian Reininger MSc zum stellvertretenden Mitglied des Verwaltungsrates der Europäischen Investitionsbank für jene Periode, welche an die am Ende des 16. Juni 2023 ausgelaufene anschließt (Anlage 6)
B. Zuweisungen
Gesetzesbeschlüsse (Beschlüsse) des Nationalrates
(siehe Tagesordnung)
*****

*****

*****

*****

*****

*****




*****
Vertretung von Mitgliedern der Bundesregierung
Präsidentin Mag.a Claudia Arpa: Weiters eingelangt ist ein Schreiben des Ministerratsdienstes des Bundeskanzleramtes betreffend den Aufenthalt von Frau Bundesministerin für EU und Verfassung Mag.a Karoline Edtstadler von 12. bis 13. Juli 2023 in der Schweiz bei gleichzeitiger Beauftragung von Frau Bundesministerin MMag. Dr.in Susanne Raab mit ihrer Vertretung gemäß Art. 73 Abs. 1 Bundes-Verfassungsgesetz.
*****
Eingelangt sind und den zuständigen Ausschüssen zugewiesen wurden jene Beschlüsse des Nationalrates, die Gegenstand der heutigen Tagesordnung sind.
Die Ausschüsse haben ihre Vorberatungen abgeschlossen und schriftliche Ausschussberichte erstattet.
Absehen von der 24-stündigen Aufliegefrist
Präsidentin Mag.a Claudia Arpa: Es ist mir der Vorschlag zugekommen, von der 24-stündigen Aufliegefrist der gegenständlichen Ausschussberichte zu den vorliegenden Verhandlungsgegenständen Abstand zu nehmen.
Hierzu ist eine Mehrheit von mindestens zwei Dritteln der abgegebenen Stimmen erforderlich.
Ich bitte jene Bundesrätinnen und Bundesräte, die mit dem Vorschlag der Abstandnahme von der 24-stündigen Aufliegefrist der gegenständlichen Ausschussberichte einverstanden sind, um ein Handzeichen. – Das ist die Stimmeneinhelligkeit. Der Vorschlag ist mit der nach § 44 Abs. 3 der Geschäftsordnung des Bundesrates erforderlichen Zweidrittelmehrheit angenommen.
*****
Ich habe die zuvor genannten Verhandlungsgegenstände auf die Tagesordnung der heutigen Sitzung gestellt.
Wird zur Tagesordnung das Wort gewünscht? – Das ist nicht der Fall.
Behandlung der Tagesordnung
Präsidentin Mag.a Claudia Arpa: Aufgrund eines mir zugekommenen Vorschlages beabsichtige ich, die Debatten über die Tagesordnungspunkte 1 und 2, 5 und 6, 8 und 9, 12 und 13, 16 bis 18 sowie 19 und 20 jeweils unter einem zu verhandeln.
Erhebt sich dagegen ein Einwand? – Das ist nicht der Fall.
Wir gehen in die Tagesordnung ein.