Einlauf und Zuweisungen
Präsident Mag. Franz Ebner: Hinsichtlich der eingelangten und verteilten Anfragebeantwortungen,
jenes Verhandlungsgegenstandes, der gemäß Art. 42 Abs. 5 Bundes-Verfassungsgesetz nicht dem Mitwirkungsrecht des Bundesrates unterliegt,
eines Schreibens des Bundeskanzlers
betreffend die Amtsenthebung der Bundesregierung mit Entschließung gemäß Art. 74 Abs. 3 des Bundes-Verfassungsgesetzes sowie der Staatssekretärinnen gemäß Art. 74 Abs. 3 in Verbindung mit Art. 78 Abs. 2 des Bundes-Verfassungsgesetzes bei gleichzeitiger Betrauung der scheidenden Mitglieder der Bundesregierung gemäß Artikel 71 des Bundes-Verfassungsgesetzes in Verbindung mit Art. 77 Abs. 3 des Bundes-Verfassungsgesetzes mit der Fortführung der Verwaltung und Betrauung des Herrn Bundeskanzlers als Vorsitzenden der einstweiligen Bundesregierung;
ferner wurden Frau Claudia Plakolm und Frau Mag. Susanne Kraus-Winkler gemäß Art. 70 Abs. 1 in Verbindung mit Art. 78 Abs. 2 des Bundes-Verfassungsgesetzes bis zur Bildung der neuen Bundesregierung zu Staatssekretärinnen ernannt und dem Bundeskanzler Frau Claudia Plakolm sowie dem Bundesminister für Arbeit und Wirtschaft Frau Mag. Susanne Kraus-Winkler zur Unterstützung in der Geschäftsführung und zur parlamentarischen Vertretung beigegeben,
der Schreiben des Generalsekretärs für auswärtige Angelegenheiten im Bundesministerium für europäische und internationale Angelegenheiten und des Bundesministers für Finanzen gemäß Art. 50 Abs. 5 Bundes-Verfassungsgesetz
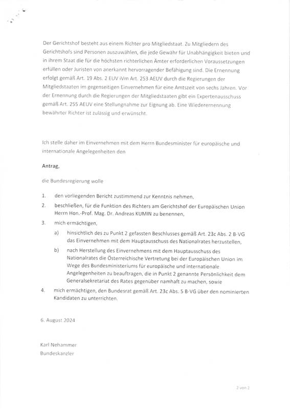
und der Unterrichtungen des Bundeskanzlers gemäß Art. 23c Abs. 5 Bundes-Verfassungsgesetz
verweise ich auf die im Sitzungssaal verteilte Mitteilung gemäß § 41 Abs. 1 der Geschäftsordnung des Bundesrates, die dem Stenographischen Protokoll dieser Sitzung angeschlossen wird.
Ebenso verweise ich hinsichtlich der eingelangten Verhandlungsgegenstände und deren Zuweisungen im Sinne des § 19 Abs. 1 der Geschäftsordnung auf diese gemäß § 41 Abs. 1 der Geschäftsordnung im Sitzungssaal verteilte Mitteilung, die dem Stenographischen Protokoll dieser Sitzung angeschlossen wird.
Die schriftliche Mitteilung hat folgenden Wortlaut:
Eingelangt sind:
1. Anfragebeantwortungen
(Anlage 1) (siehe auch S. 19)
2. Eingelangter Verhandlungsgegenstand, der gemäß Art. 42 Abs. 5 B-VG nicht dem Mitwirkungsrecht des Bundesrates unterliegt
Beschluss des Nationalrates vom 18. September 2024 betreffend ein Bundesgesetz über die Genehmigung des Bundesrechnungsabschlusses für das Jahr 2023 (III-1161 d.B. und 2708 d.B.)
3. Schreiben des Bundeskanzlers
betreffend die Amtsenthebung der Bundesregierung mit Entschließung gemäß Artikel 74 Absatz 3 des Bundes-Verfassungsgesetzes sowie der Staatssekretärinnen gemäß Artikel 74 Absatz 3 in Verbindung mit Artikel 78 Absatz 2 des Bundes-Verfassungsgesetzes bei gleichzeitiger Betrauung der scheidenden Mitglieder der Bundesregierung gemäß Artikel 71 des Bundes-Verfassungsgesetzes in Verbindung mit Artikel 77 Absatz 3 des Bundes-Verfassungsgesetzes mit der Fortführung der Verwaltung und Betrauung des Herrn Bundeskanzlers als Vorsitzenden der einstweiligen Bundesregierung.
Ferner wurden Frau Claudia Plakolm und Frau Mag. Susanne Kraus-Winkler gemäß Artikel 70 Absatz 1 in Verbindung mit Artikel 78 Absatz 2 des Bundes-Verfassungsgesetzes bis zur Bildung der neuen Bundesregierung zu Staatssekretärinnen ernannt und dem Bundeskanzler Frau Claudia Plakolm sowie dem Bundesminister für Arbeit und Wirtschaft Frau Mag. Susanne Kraus-Winkler zur Unterstützung in der Geschäftsführung und zur parlamentarischen Vertretung beigegeben. (Anlage 2)
4. Schreiben des Landtages
Schreiben des Steiermärkischen Landtages betreffend Mandatsverzicht (Anlage 3)
5. Unterrichtungen gemäß Art. 50 Abs. 5 B-VG
Schreiben des Generalsekretärs für auswärtige Angelegenheiten im Bundesministerium für europäische und internationale Angelegenheiten betreffend Vollmacht zur Aufnahme von Verhandlungen über ein Abkommen über soziale Sicherheit zwischen der Republik Österreich und der Mongolei (Anlage 4)
Schreiben des Generalsekretärs für auswärtige Angelegenheiten im Bundesministerium für europäische und internationale Angelegenheiten betreffend Vollmacht zur Aufnahme von Verhandlungen über ein Abkommen zwischen der Republik Österreich und dem Fürstentum Liechtenstein über die Übernahme von Vollziehungsaufgaben im Zusammenhang mit der EU-Tabakprodukte-Richtlinie 2014/40/EU (Anlage 5)
Schreiben des Bundesministers für Finanzen betreffend Vollmacht zur Aufnahme von Verhandlungen über ein Abkommen zwischen der Republik Österreich und dem Staat Libyen zur Vermeidung der Doppelbesteuerung auf dem Gebiete der Steuern vom Einkommen und vom Vermögen und zur Verhinderung der Steuerverkürzung und ‑umgehung (Anlage 6)
6. Unterrichtungen des Bundeskanzlers gemäß Art. 23c Abs. 5 B-VG
Nominierung von Herrn Bundesminister für Finanzen Dr. Magnus Brunner, LL.M. zum österreichischen Mitglied der Europäischen Kommission für die Amtsperiode 2024 bis 2029 (Anlage 7)
Nominierung von Herrn Hon.-Prof. Mag. Dr. Andreas Kumin als österreichischer Richter am Gerichtshof der Europäischen Union für die Funktionsperiode 7. Oktober 2024 bis 6. Oktober 2030 (Anlage 8)
B. Zuweisungen
1. Gesetzesbeschlüsse (Beschlüsse) des Nationalrates
(siehe Tagesordnung)
2. Vorlagen der Bundesregierung oder ihrer Mitglieder
Grüner Bericht 2024, vorgelegt vom Bundesminister für Land- und Forstwirtschaft, Regionen und Wasserwirtschaft (III-861-BR/2024)
zugewiesen dem Ausschuss für Land-, Forst- und Wasserwirtschaft
Kunst- und Kulturbericht 2023 der Bundesregierung (III-862-BR/2024)
zugewiesen dem Ausschuss für Tourismus, Kunst und Kultur
*****



*****

*****

*****




*****




*****





*****




*****




*****
Präsident Mag. Franz Ebner: Eingelangt sind und den zuständigen Ausschüssen zugewiesen wurden jene Beschlüsse des Nationalrates, die Gegenstand der heutigen Tagesordnung sind.
Die Ausschüsse haben ihre Vorberatungen abgeschlossen und schriftliche Ausschussberichte erstattet.
Anträge gemäß § 16 Abs. 3 sowie § 16 Abs. 4 GO-BR
Präsident Mag. Franz Ebner: Ich gebe bekannt, dass von den Bundesräten Harald Himmer, Korinna Schumann, Christoph Steiner, Markus Schreuder, Kolleginnen und Kollegen der Antrag, den Beschluss des Nationalrates vom 18. September 2024 betreffend die Wahl der Mitglieder des Parlamentarischen Datenschutzkomitees gemäß § 35b Datenschutzgesetz (2712 d.B.) gemäß § 49 Abs. 1 in Verbindung mit § 16 Abs. 4 der Geschäftsordnung des Bundesrates ohne Ausschussvorberatung in Verhandlung zu nehmen, eingebracht wurde.
Ich lasse daher über den Antrag der Bundesräte Harald Himmer, Korinna Schumann, Christoph Steiner, Markus Schreuder, Kolleginnen und Kollegen, den Beschluss des Nationalrates vom 18. September 2024 betreffend die Wahl der Mitglieder des Parlamentarischen Datenschutzkomitees gemäß § 35b Datenschutzgesetz (2712 d.B.) gemäß § 16 Abs. 4 der Geschäftsordnung des Bundesrates ohne Ausschussvorberatung in Verhandlung zu nehmen, abstimmen.
Hiezu ist eine Mehrheit von mindestens zwei Dritteln der abgegebenen Stimmen erforderlich.
Ich bitte jene Bundesrätinnen und Bundesräte, die diesem Antrag der Bundesräte Harald Himmer, Korinna Schumann, Christoph Steiner, Markus Schreuder, Kolleginnen und Kollegen ihre Zustimmung geben, um ein Handzeichen. – Das ist Stimmeneinhelligkeit. Der Antrag, den Beschluss des Nationalrates vom 18. September 2024 betreffend die Wahl der Mitglieder des Parlamentarischen Datenschutzkomitees gemäß § 35b Datenschutzgesetz (2712 d.B.) gemäß § 16 Abs. 4 der Geschäftsordnung des Bundesrates ohne Vorberatung durch einen Ausschuss in Verhandlung zu nehmen, ist somit mit der erforderlichen Zweidrittelmehrheit angenommen.
Ich werde daher die Tagesordnung um den Beschluss des Nationalrates vom 18. September 2024 betreffend die Wahl der Mitglieder des Parlamentarischen Datenschutzkomitees gemäß § 35b Datenschutzgesetz (2712 d.B.) als vierten und somit vorletzten Tagesordnungspunkt ergänzen.
Ich gebe weiters bekannt, dass von den Bundesräten Franz Ebner, Korinna Schumann, Christoph Steiner, Marco Schreuder, Kolleginnen und Kollegen gemäß § 66 der Geschäftsordnung des Bundesrates der Antrag auf Abhaltung einer parlamentarischen Enquete zum Thema „Demokratie braucht Zukunft – Brücken bauen, Demokratie stärken“ eingebracht wurde.
Hiezu wurde gemäß § 49 Abs. 1 in Verbindung mit § 16 Abs. 3 der Geschäftsordnung des Bundesrates beantragt, diesen Selbständigen Antrag gemäß § 16 Abs. 3 der Geschäftsordnung des Bundesrates ohne Ausschussvorberatung in Verhandlung zu nehmen.
Ich lasse daher über den Antrag der Bundesräte Franz Ebner, Korinna Schumann, Christoph Steiner, Marco Schreuder, Kolleginnen und Kollegen, diesen Selbständigen Antrag auf Abhaltung einer parlamentarischen Enquete gemäß § 16 Abs. 3 der Geschäftsordnung des Bundesrates ohne Ausschussvorberatung in Verhandlung zu nehmen, abstimmen.
Hiezu ist eine Mehrheit von mindestens zwei Dritteln der abgegebenen Stimmen erforderlich.
Ich bitte jene Bundesrätinnen und Bundesräte, die dem vorliegenden Antrag ihre Zustimmung erteilen, um ein Handzeichen. – Auch das ist Stimmeneinhelligkeit. Der Antrag, den Selbständigen Antrag auf Abhaltung einer parlamentarischen Enquete gemäß § 16 Abs. 3 der Geschäftsordnung des Bundesrates ohne Vorberatung durch einen Ausschuss unmittelbar in Verhandlung zu nehmen, ist somit mit der erforderlichen Zweidrittelmehrheit angenommen.
Ich werde daher die Tagesordnung um den Selbständigen Antrag auf Abhaltung einer parlamentarischen Enquete zum Thema „Demokratie braucht Zukunft – Brücken bauen, Demokratie stärken“ ergänzen und als fünften und somit letzten Tagesordnungspunkt in Verhandlung nehmen.
*****
Ich habe die zuvor genannten Verhandlungsgegenstände und
den Beschluss des Nationalrates vom 18. September 2024 betreffend die Wahl der Mitglieder des Parlamentarischen Datenschutzkomitees gemäß § 35b Datenschutzgesetz (2712 d.B.) sowie
den Selbständigen Antrag 423/A-BR/2024 auf Abhaltung einer parlamentarischen Enquete
auf die Tagesordnung der heutigen Sitzung gestellt.
Wird zur Tagesordnung das Wort gewünscht? – Das ist nicht der Fall.
Wir gehen in die Tagesordnung ein.